内容


附录F
声压级及扬声器所需功率计算




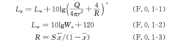
F.0.1 厅堂声压级可按下列公式计算:

式中:Lp——室内距声源为r的某点声压级(dB);
 
         Lw——声源的功率级(dB);
 
        R——房间常数;
           Wa——声源声功率(W);
 
        r——声源距测点的距离(m);
          S——室内总表面积(m2);
         X——平均吸声系数;
         
Q——声源的指向性因数,参见表F.0.1。
    注:*仅适用于室内声场分布均匀的情况。


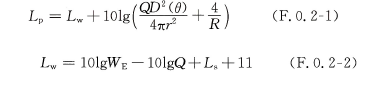
F.0.2 扬声器声压及功率计算:
    1 扬声器声场的声压级Lp:


式中:Lw——扬声器的声级功率(dB);
 
         WE——输入扬声器的电功率(W);
 
         Ls——扬声器特性灵敏度级(dB);
 
  D(θ)——扬声器θ方向的指向性系数;
          Q——扬声器指向性因数;
         
r——测点到扬声器的距离(m);
          R——房间常数。
    2
扬声器最远供声距离rm:


式中:re——临界距离(m);
         
Q——扬声器指向性因数;
          R——房间常数;
   D(θ)——扬声器0方向的指向性系数。
F.0.3
扬声器所需功率应按下式计算:


式中:Lp——根据需要所选定的最大声压级(dB);
 
        Ls——扬声器特性灵敏度级(dB);
 
        WE——扬声器的电功率(W);
 
         r——测点到扬声器的距离(m)。