液化石油气供应工程设计规范
编号:GB51142-20154.2 管道设计
4.2.1 液态液化石油气管道的材料、壁厚及管道附件的选择、计算应符合本规范第9.1节的规定。
4.2.2 液态液化石油气管道按设计压力(P)应分为3级,并应符合表4.2.2的规定。

4.2.3 液态液化石油气管道装有安全泄放装置时,设定压力或最大标定爆破压力应小于管道的设计压力。
4.2.4 液态液化石油气在管道输送过程中,沿途任何一点的绝对压力应高于输送温度下的饱和蒸气压力。液态液化石油气管道的设计压力应高于管道系统起点的最高工作压力。管道系统起点的最高工作压力可按下式计算:

式中:Pq——管道系统起点的最高工作压力(MPa);
H——选用泵的扬程,计算时换算成压力(MPa);
Ps——始端储罐最高工作温度下的饱和蒸气压力(绝对压力,MPa);
Pa——管道系统起点(始端储罐)的大气压力(MPa),可取0.1。
4.2.5 当液态液化石油气采用管道输送时,泵的扬程应大于泵的计算扬程。泵的计算扬程可按下式计算:

式中:Hj——泵的计算扬程(MPa);
△Pz——管道总阻力损失(MPa),可取(1.05~1.10)倍管道摩擦阻力损失;
△Pγ——管道终点进罐余压(MPa),可取(0.2~0.3)MPa;
△H——管道终点、起点高程差引起的附加压力(MPa)。
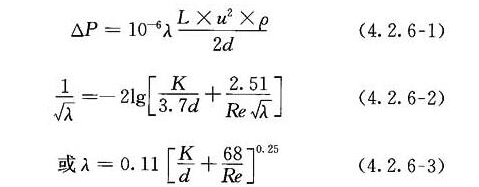
4.2.6 液态液化石油气管道摩擦阻力损失应按下列公式计算:

式中:△P——管道摩擦阻力损失(MPa);
L——管道计算长度(m);
u——液态液化石油气在管道内的平均流速(m/s);
d——管道内径(m);
ρ——平均输送温度下的液态液化石油气密度(kg/m³);
λ——管道的摩擦阻力系数;
K——管壁内表面的当量绝对粗糙度(m);
Re——雷诺数。
4.2.7 液态液化石油气在管道内的平均流速,应经技术经济比较后确定,可取0.8m/s~1.4m/s,且不得大于3m/s;平均输送温度可取管道中心埋深处最冷月的平均地温。
4.2.8 液态液化石油气管道的连接应采用焊接;管道与设备、阀门等可采用法兰连接或螺纹连接。
4.2.9 液态液化石油气管道之间及管道与管道附件之间的焊接应符合本规范第9.2节的规定。
4.2.10 液态液化石油气管道宜采用自然补偿或Π形补偿器,不得采用填料型补偿器。
4.2.11 当埋地液态液化石油气管道采用弹性敷设时,应符合现行国家标准《输油管道工程设计规范》GB 50253的有关规定。
4.2.12 液态液化石油气管道应采用外防腐层加阴极保护联合防护,并应符合本规范第9.4节的规定。
4.2.13 液态液化石油气管道阀门的设置应符合下列规定:
1 应采用专用阀门,其性能应符合国家现行标准的有关规定;
2 阀门应根据管段长度、管段所处位置的重要性和检修的需要,并应考虑发生事故时能将事故管段及时切断等因素进行设置;
3 管道的起点、终点和分支点应设置阀门;
4 穿越铁路、公路、高速公路、城市快速路、大型河流和地上敷设的液态液化石油气管道两侧应设置阀门;管道沿线每隔5000m处应设置分段阀门,阀门宜具有远程控制功能;
5 使用清管器或电子检管器,管段的阀门应选用全通径阀门。
4.2.14 管道分段阀门之间应设置放散阀。地上敷设管道两阀门之间应设置管道安全阀,管道安全阀与管道之间应设置阀门。安全阀和放散阀的放散管管口距地面高度不应小于2.5m。管道安全阀的整定压力应符合现行国家标准《压力容器》GB 150.1~GB 150.4的有关规定。
4.2.15 液化石油气管道的阀门不宜设置在地下阀门井内。
条文说明
4.2 管道设计
4.2.1 管道附件是管件、法兰、阀门及其组合件,绝缘法兰、绝缘接头、清管器收发筒及过滤器等管道专用部件的俗称。
4.2.2 液态液化石油气管道按设计压力P(表压)分为:小于或等于1.6MPa、大于1.6MPa小于或等于4.0MPa和大于4.0MPa三级,既符合目前我国各类管道压力级别划分,又符合目前我国液化石油气输送管道设计压力级别的现状。
设计压力指管道任一点不应小于管道及附件内壁在最高稳态的操作压力,且不小于管内液体处于静止状态下的静水压力。当设置反输流程时,管道的设计压力不应小于任何一处正、反输送条件下最高稳态操作压力的较高者。
4.2.4 在设计时按公式(4.2.4)计算管道系统起点最高工作压力后,再圆整成相应压力作为管道设计压力,故管道设计压力应高于管道系统起点的最高工作压力。
4.2.5 液态液化石油气采用管道输送时,泵的扬程应大于按公式(4.2.5)的计算扬程。因为液态液化石油气在管道输送过程中,沿途任何一点的绝对压力应高于输送温度下的饱和蒸气压力。该公式说明如下:
1 泵的计算扬程和管道终点、起点高程差引起的附加压力,在计算时换算成压力。
2 管道总阻力损失包括摩擦阻力损失和局部阻力损失。在实际工作中可不详细计算每个阀门及附件的局部阻力损失,而根据设计经验取5%~10%的摩擦阻力损失。当管道较长时宜取较小值,管道较短时宜取较大值。
3 管道终点进罐余压是指液态液化石油气进入接收站储罐前的剩余压力(高于罐内饱和蒸气压力的差值)。为保证一定的进罐速度,根据运行经验取0.2MPa~0.3MPa。
4 计算管道终、起点高程差引起的附加压头是为了保证液态液化石油气进罐压力。
4.2.6 计算ρ时,平均输送温度可取管道中心埋深处最冷月的平均地温。
规定管道的摩擦阻力系数可按式(4.2.6-2),也可按式(4.2.6-3)计算,方便设计人员根据工程需要选择计算公式。
4.2.7 液态液化石油气在管道中的平均流速取0.8m/s~1.4m/s,是经济流速。管道内最大流速不应超过3m/s是安全流速,以确保液态液化石油气在管道内流动过程中所产生的静电有足够的时间导出,防止静电电荷集聚和电位增高。
国内外有关规范规定的烃类液体在管道内的最大流速如下:
美国《烃类气体和液体的管道设计》规定为2.3m/s~2.4m/s。
原苏联建筑法规《煤气供应(室内外煤气设备设计规范)》规定最大流速不应超过3m/s。
现行国家标准《输油管道工程设计规范》GB 50253中规定与本规范相同。
据此,本规范规定液态液化石油气在管道中的最大允许流速不应超过3m/s。
4.2.10 管道敷设的环境不同,管道内介质和热绝缘情况不同,如有温度的变化,管道长度必将会发生变化。本条未规定液化石油气管道一定要设置温度补偿,但明确规定液化石油气管道中不得安装填料型补偿器,因其易造成管道堵塞,有热胀冷缩时易对管道造成破坏。
4.2.13 阀门的设置主要根据管段长度、管段所处位置的重要性和检修的需要,并考虑发生事故时能将事故管段及时切断,阀门设置的数量不宜过多。管路沿线每隔5000m设置一个阀门,是根据国内经验确定的。当管路分段阀与穿越河流、铁路阀门相距较近或连续穿越河流、铁路时,可并用一个阀门。
4.2.14 两阀门之间设置管道安全阀是为了防止因太阳辐射热使其压力升高造成管道破裂。本规范仅规定:管道分段阀门之间应设置放散阀;地上敷设管道两阀门之间应设置管道安全阀。设置单阀还是双阀,设计人员可根据实际需要进行设计。
4.2.15 液化石油气管道上的阀门不宜设置在地下阀门井内,是为了防止发生泄漏时液化石油气聚集。当直埋式阀门或阀门井内填满中性砂时,不受本条限制。