建筑防烟排烟系统技术标准
编号:GB51251-2017
颁布时间:2018/8/1
是否常用:是
是否有效:现行有效
分类:消防设施
4.6
排烟系统设计计算
4.6.1
排烟系统的设计风量不应小于该系统计算风量的1.2倍。
4.6.2
当采用自然排烟方式时,储烟仓的厚度不应小于空间净高的20%,且不应小于500mm;当采用机械排烟方式时,不应小于空间净高的10%,且不应小于500mm。同时储烟仓底部距地面的高度应大于安全疏散所需的最小清晰高度,最小清晰高度应按本标准第4.6.9条的规定计算确定。
4.6.3
除中庭外下列场所一个防烟分区的排烟量计算应符合下列规定:
1 建筑空间净高小于或等于6m的场所,其排烟量应按不小于60
m3/ (h·m2)计算,且取值不小于15000m3
/h,或设置有效面积不小于该房间建筑面积2%的自然排烟窗(口)。
2
公共建筑、工业建筑中空间净高大于6m的场所,其每个防烟分区排烟量应根据场所内的热释放速率以及本标准第4.6.6条~第4.6.13条的规定计算确定,且不应小于表4.6.3中的数值,或设置自然排烟窗(口),其所需有效排烟面积应根据表4.6.3及自然排烟窗(口)处风速计算。

注:1.建筑空间净高大于9.0m的,按9.0m取值;建筑空间净高位于表中两个高度之间的,按线性插值法取值;表中建筑空间净高为6m处的各排烟量值为线性插值法的计算基准值。
2.当采用自然排烟方式时,储烟仓厚度应大于房间净高的20%;自然排烟窗(口)面积=计算排烟量/自然排烟窗(口)处风速;当采用顶开窗排烟时,其自然排烟窗(口)的风速可按侧窗口部风速的1.4倍计。
3
当公共建筑仅需在走道或回廊设置排烟时,其机械排烟量不应小于13000m3/h,或在走道两端(侧)均设置面积不小于2m2的自然排烟窗(口)且两侧自然排烟窗(口)的距离不应小于走道长度的2/3。
4 当公共建筑房间内与走道或回廊均需设置排烟时,其走道或回廊的机械排烟量可按60 m3/
(h·m2)计算且不小于13000m3/h,或设置有效面积不小于走道、回廊建筑面积2%的自然排烟窗(口)。
4.6.4
当一个排烟系统担负多个防烟分区排烟时,其系统排烟量的计算应符合下列规定:
1
当系统负担具有相同净高场所时,对于建筑空间净高大于6m的场所,应按排烟量最大的一个防烟分区的排烟量计算;对于建筑空间净高为6m及以下的场所,应按同一防火分区中任意两个相邻防烟分区的排烟量之和的最大值计算。
2 当系统负担具有不同净高场所时,应采用上述方法对系统中每个场所所需的排烟量进行计算,并取其中的最大值作为系统排烟量。
4.6.5
中庭排烟量的设计计算应符合下列规定:
1
中庭周围场所设有排烟系统时,中庭采用机械排烟系统的,中庭排烟量应按周围场所防烟分区中最大排烟量的2倍数值计算,且不应小于107000m3/h;中庭采用自然排烟系统时,应按上述排烟量和自然排烟窗(口)的风速不大于0.5m/s计算有效开窗面积。
2
当中庭周围场所不需设置排烟系统,仅在回廊设置排烟系统时,回廊的排烟量不应小于本标准第4.6.3条第3款的规定,中庭的排烟量不应小于40000m3/h;中庭采用自然排烟系统时,应按上述排烟量和自然排烟窗(口)的风速不大于0.4m/s计算有效开窗面积。
4.6.6
除本标准第4.6.3条、第4.6.5条规定的场所外,其他场所的排烟量或自然排烟窗(口)面积应按照烟羽流类型,根据火灾热释放速率、清晰高度、烟羽流质量流量及烟羽流温度等参数计算确定。
4.6.7
各类场所的火灾热释放速率可按本标准第4.6.10条的规定计算且不应小于表4.6.7规定的值。设置自动喷水灭火系统(简称喷淋)的场所,其室内净高大于8m时,应按无喷淋场所对待。

4.6.8
当储烟仓的烟层与周围空气温差小于15℃时,应通过降低排烟口的位置等措施重新调整排烟设计。
4.6.9
走道、室内空间净高不大于3m的区域,其最小清晰高度不宜小于其净高的1/2,其他区域的最小清晰高度应按下式计算:
Hq =1.6
+0.1·H ′ (4.6.9)式中:Hq——最小清晰高度(m);
H′——对于单层空间,取排烟空间的建筑净高度(m);对于多层空间,取最高疏散楼层的层高(m)。
4.6.10 火灾热释放速率应按下式计算:
Q
=α·t2 (4.6.10)式中:Q——热释放速率(kW);
t——火灾增长时间(s);
α——火灾增长系数(按表4.6.10取值)(kW/s2)。

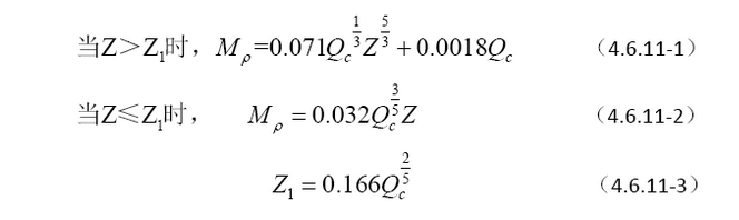
4.6.11
烟羽流质量流量计算宜符合下列规定: 1
轴对称型烟羽流:

式中:Qc——热释放速率的对流部分,一般取值为Qc =0.7
Q(kW);
Z——燃料面到烟层底部的高度(m)(取值应大于或等于最小清晰高度与燃料面高度之差);
Z1——火焰极限高度(m);
Mρ——烟羽流质量流量(kg/s)。
2
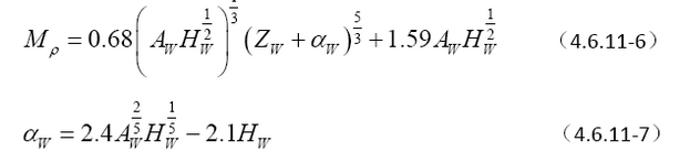
阳台溢出型烟羽流:

W = w + b
(4.6.11-5)式中:H1——燃料面至阳台的高度(m);
Zb——从阳台下缘至烟层底部的高度(m);
W——烟羽流扩散宽度(m);
w——火源区域的开口宽度(m);
b——从开口至阳台边沿的距离(m),b≠0;
3 窗口型烟羽流:

式中:Aw——窗口开口的面积(m2);
Hw——窗口开口的高度(m);
Zw——窗口开口的顶部到烟层底部的高度(m);
αw——窗口型烟羽流的修正系数(m)。
4.6.12
烟层平均温度与环境温度的差应按下式计算或按本标准附录A中表A选取:
△T =
KQc /MρCρ (4.6.12)式中:△T——烟层平均温度与环境温度的差(K);
Cρ——空气的定压比热,一般取Cρ=1.01 [kJ/ (kg•K ) ];
K——烟气中对流放热量因子。当采用机械排烟时,取K =1.0;当采用自然排烟时,取K =0.5。
4.6.13
每个防烟分区排烟量应按下列公式计算或按本标准附录A查表选取:
V = MρT
/ ρ0T0 (4.6.13-1)
T =T0 + △T
(4.6.13-2)式中:V——排烟量(m3/s);
ρ0——环境温度下的气体密度(kg/m3),通常T0=293.15K,ρ0=1.2(kg/
m3);
T0——环境的绝对温度(K);
T——烟层的平均绝对温度(K)。
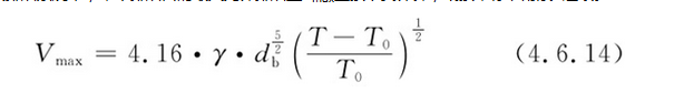
4.6.14
机械排烟系统中,单个排烟口的最大允许排烟量Vmax宜按下式计算,或按本标准附录B选取。

式中:Vmax——排烟口最大允许排烟量 (m3/s);
γ——排烟位置系数;当风口中心点到最近墙体的距离≥2倍的排烟口当量直径时:γ取1.0;当风口中心点到最近墙体的距离<
2倍的排烟口当量直径时:γ取0.5;当吸入口位于墙体上时,γ取0.5。
db——排烟系统吸入口最低点之下烟气层厚度(m);
T——烟层的平均绝对温度(K);
T0——环境的绝对温度(K)。
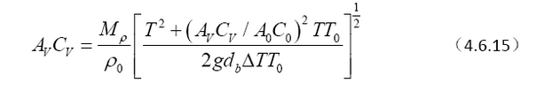
4.6.15
采用自然排烟方式所需自然排烟窗(口)截面积宜按下式计算:

式中:Av——自然排烟窗(口)截面积(m2);
A0——所有进气口总面积(m2);
Cv——自然排烟窗(口)流量系数(通常选定在0.5〜0.7之间);
C0——进气口流量系数(通常约为0.6);
g——重力加速度(m/s2)。
注:公式中AvCv在计算时应采用试算法。
条文说明
4.6 排烟系统设计计算
4.6.1
本条规定了排烟系统排烟量的确定方法。综合考虑实际工程中由于风管(道)及排烟阀(口)的漏风及风机制造标准中允许风量的偏差等各种风量损耗的影响,规定设计风量不小于计算风量的1.2倍。本条为强制性条文,必须严格执行。
4.6.2
储烟仓是指在排烟设计中聚集并排出烟气的区域。为了保证人员安全疏散和消防扑救,必须控制烟层厚度即储烟仓的厚度,并且计算所需排烟量以保证足够的清晰高度。所以储烟仓的厚度和最小清晰高度是排烟设计计算中的重要指标,本条给出了规定范围值。
4.6.3
本条规定了排烟量的计算方法。为便于工程应用,根据计算结果及工程实际,给出了常见场所的排烟量数值。表4.6.3中给出的是计算值,设计值还应乘以系数1.2。防烟分区面积不宜划分过小,否则会影响排烟效果。对于建筑空间净高小于或等于6m的场所,如果单个防烟分区排烟量计算值小于15000m³/h,按15000m³/h取值为宜,以此保证排烟效果。
表4.6.3中空间净高大于8m的场所,当采用普通湿式灭火(喷淋)系统时,喷淋灭火作用已不大,应按无喷淋考虑;当采用符合现行国家标准《自动喷水灭火系统设计规范》GB
50084的高大空间场所的湿式灭火系统时,该火灾热释放速率也可以按有喷淋取值。
4.6.4
当一个排烟系统担负多个防烟分区排烟时,系统排烟量可参照图8和表3的计算示例进行计算,但为了确保系统可靠性,一个排烟系统担负防烟分区的个数不宜过多。

图8所示建筑共4层,每层建筑面积2000m²,均设有自动喷水灭火系统。1层空间净高7m,包含展览和办公场所,2层空间净高6m,3层和4层空间净高均为5m。假设1层的储烟仓厚度及燃料面距地面高度均为1m。


4.6.5
中庭的烟气积聚主要来自两个方面,一是中庭周围场所产生的烟羽流向中庭蔓延,一是中庭内自身火灾形成的烟羽流上升蔓延。中庭周围场所的火灾烟羽向中庭流动时,可等效视为阳台溢出型烟羽流,根据英国规范的简便计算公式,其数值可为按轴对称烟羽流计算所得的周围场所排烟量的2倍。对于中庭内自身火灾形成的烟羽流,根据现行国家标准《建筑设计防火规范》GB
50016的相关要求,中庭应设置排烟设施且不应布置可燃物,所以中庭着火的可能性很小。但考虑到我国国情,目前在中庭内违规搭建展台、布设桌椅等现象仍普遍存在,为了确保中庭内自身发生火灾时产生的烟气仍能被及时排出,本标准保守设计中庭自身火灾在设定火灾规模为4MW且保证清晰高度在6m时,其生成的烟量为107000m³/h,中庭的排烟量需同时满足两种起火场景的排烟需求。
1
当公共建筑中庭周围场所设有机械排烟,考虑周围场所的机械排烟存在机械或电气故障等失效的可能,烟气将会大量涌入中庭,因此对此种状况的中庭规定其排烟量按周围场所中最大排烟量的2倍数值计算,且不应小于107000m³/h(或25m²的有效开窗面积)。
2
当公共建筑中庭周围仅需在回廊设置排烟的,由于周边场所面积较小,产生的烟量也有限,所需的排烟量较小,一般不超过13000m³/h;当公共建筑中庭周围场所均设置自然排烟的,可开启窗的排烟较简便,基本可以保证正常,只需考虑中庭自身火灾的烟量,因此对这两种状况的中庭规定其排烟量应根据工程条件和使用需要对应表4.6.6中的热释放速率按本标准第4.6.7条~第4.6.14条的规定计算确定。
4.6.6 排烟量或排烟窗面积应按照火灾场景中所形成烟羽流类型,根据火灾功率、清晰高度、烟羽流质量流量及烟羽流温度等参数计算确定,但对本标准第4.6.3条、第4.6.5条中已明确给出的设计值,可以按其规定计算排烟量和排烟窗面积。本标准所列公式仅适用于设计阶段对排烟量的计算,不适用于特殊工程的性能化评估。
4.6.7 火灾烟气的聚集主要是由火灾热释放速率、火源类型、空间大小形状、环境温度等因素决定的。本条参照了国外的有关实验数据,规定了建筑场所火灾热释放速率的确定方法和常用数据。当房间设有有效的自动喷水灭火系统(简称喷淋)时,火灾时该系统自动启动,会限制火灾的热释放速率。根据现行国家标准《自动喷水灭火系统设计规范》GB
50084,一般情况下,民用建筑和厂房采用湿式系统的净空高度是8m,因此当室内净高大于8m时,应按无喷淋场所对待。如果房间按照高大空间场所设计的湿式灭火系统,加大了喷水强度,调整了喷头间距要求,其允许最大净空高度可以加大到12m~18m;因此当室内净空高度大于8m,且采用了符合现行国家标准《自动喷水灭火系统设计规范》GB
50084的有效喷淋灭火措施时,该火灾热释放速率也可以按有喷淋取值。
4.6.8
当储烟仓的烟层温度与周围空气温差小于15℃时,此时烟气已经基本失去浮力,会在空中滞留或沉降,无论机械排烟还是自然排烟,都难以有效地将烟气排到室外,设计计算结果如果得出上述情况之一时,说明设计方案是失效的,应重新调整排烟措施。通常简便又有效的办法是在保证清晰高度的前提下,加大挡烟垂壁的深度,因为烟气流动的规律告诉我们,清晰高度越高,即挡烟垂壁设置的深度越浅或其下沿离着火楼层地面高度越大,烟气行程就越长,卷吸冷空气就越多,烟量也势必越大,但烟温反而越低。
4.6.9
火灾时的最小清晰高度是为了保证室内人员安全疏散和方便消防人员的扑救而提出的最低要求,也是排烟系统设计时必须达到的最低要求。对于单个楼层空间的清晰高度,可以参照图9(a)所示,式(4.6.9)也是针对这种情况提出的。对于多个楼层组成的高大空间,最小清晰高度同样也是针对某一个单层空间提出的,往往也是连通空间中同一防烟分区中最上层计算得到的最小清晰高度,如图9(b)所示。然而,在这种情况下的燃料面到烟层底部的高度Z是从着火的那一层起算,见图9(b)所示。

空间净高按如下方法确定:
(1)
对于平顶和锯齿形的顶棚,空间净高为从顶棚下沿到地面的距离。
(2)
对于斜坡式的顶棚,空间净高为从排烟开口中心到地面的距离。
(3)
对于有吊顶的场所,其净高应从吊顶处算起;设置格栅吊顶的场所,其净高应从上层楼板下边缘算起。
4.6.10
排烟系统的设计计算取决于火灾中的热释放速率,因此首先应明确设计的火灾规模,设计的火灾规模取决于燃烧材料性质、时间等因素和自动灭火设施的设置情况,为确保安全,一般按可能达到的最大火势确定火灾热释放速率。
4.6.11
轴对称型烟羽流、阳台溢出型烟羽流、窗口型烟羽流为火灾情况下涉及的三种烟羽流形式,计算公式选用了美国消防工程师协会标准 NFPA92《Standard for Smoke Control
System》(烟气控制系统标准),其形式如图10~图12所示,轴对称型烟缕的火源不受附近墙壁的限制。


本条第2款,阳台溢出型烟羽流公式适用于Zb<15m的情形,当Zb≥15m时,可参照美国消防工程师协会标准 NFPA92《Standard for Smoke Control
System》(烟气控制系统标准)中相关规定计算。
本条第3款,窗口型烟羽流公式适用于通风控制型火灾(即热释放速率由流进室内的空气量控制的火灾)和可燃物产生的火焰在窗口外燃烧的场景,并且仅适用于只有一个窗口的空间。
计算举例如下:
(1)举例:轴对称型烟羽流。
某商业建筑含有一个三层共享空间,空间未设置喷淋系统,其空间尺寸长、宽、高分别为30m、20m、15m,每层层高为5m,排烟口设于空间顶部(其最近的边离墙大于0.5m),最大火灾热释放速率为4MW,火源燃料面距地面高度1m。剖面示意图见图13,平面示意图见图14。
热释放速率的对流部分:Qc=0.7Q=0.7×4=2.8(MW)=2800(kW)

火焰极限高度:

燃料面到烟层底部的高度:
Z=(10-1)+(1.6+0.1H)=9+(1.6+0.1×5)=11.1(m)
因为Z>Z1,则烟羽流质量流量:

(2)举例:阳台溢出型烟羽流。
某一带有阳台的两层公共建筑,室内设有喷淋装置,每层层高8m,阳台开口w=3m,燃料面距地面1m,至阳台下缘H1=7m,从开口至阳台边沿的距离为b=2m。火灾热释放速率取Q=2.5MW,排烟口设于侧墙并且其最近的边离吊顶小于0.5m,则:
烟羽流扩散宽度:
W=w+b=3+2=5(m)
从阳台下缘至烟层底部的最小清晰高度:
ZB=1.6+0.1×8=2.4(m)

4.6.12
本条规定了烟气平均温度与环境温度的差的确定方法,式(4.6.12)来源于美国消防工程师协会标准 NFPA92《Standard for Smoke Control
System》(烟气控制系统标准)。计算举例:以第4.6.11条中的例1为例。

烟气平均温度与环境温度的差:
△T =
KQc /MρCρ=2800/(60.31×1.01)=45.97(K)
4.6.13
本条规定了排烟量的确定方法,公式来源于美国消防工程师协会标准 NFPA92《Standard for Smoke Control
System》(烟气控制系统标准)。排烟风机的风量选型除根据设计计算确定外,还应考虑系统的泄漏量。
计算举例:以第4.6.11条中的例1为例。

烟气平均温度与环境温度的差:
△T =
KQc /MρCρ=2800/(60.31×1.01)=45.97(K)
环境温度20℃,空气密度为1.2kg/m³,排烟量:
V=MρT/ρ0T0=[60.31×(293.15+45.97)]/(1.2×293.15)=58.1(m³/s)
4.6.14
如果从一个排烟口排出太多的烟气,则会在烟层底部撕开一个“洞”,使新鲜的冷空气卷吸进去,随烟气被排出,从而降低了实际排烟量,见图15,因此本条规定了每个排烟口的最高临界排烟量,公式选自NFPA92。其中排烟口的当量直径为4倍排烟口有效截面积与截面周长之比。排烟口设置位置参考图见图16。例如,矩形排烟口的当量直径[宽高为a,b]可用式(2)计算:
D=4ab/[2(a+b)]=2ab/(a+b) (2)


4.6.15
自然排烟系统是利用火灾热烟气的浮力作为排烟动力,其排烟口的排放率在很大程度上取决于烟气的厚度和温度,自然排烟系统的优点是简单易行,推荐采用比较成熟的英国防火设计规范的计算公式。
计算举例:以第4.6.11条中的例1为例,现采用自然排烟系统进行设计,自然补风。环境温度20℃,空气密度为1.2kg/m³。
热释放速率的对流部分:
Qc=0.7Q=0.7×4=2.8(MW)=2800(KW)
烟羽流质量流量:

故烟气层温升:
△T =
KQc /MρCρ=0.5×2800/(60.31×1.01)=23(K)
烟气层平均绝对温度:
T=T0+ΔT=293.15+23=316.15(K)
排烟系统吸入口最低点之下烟层厚度:
db=5-(1.6+0.1H)=5-(1.6+0.1×5)=2.9(m)
Cv取0.6,重力加速度取9.8m/s²,设定AvCv/A0C0=1,则:
