消防给水及消火栓系统技术规范
编号:GB50974-2014
颁布时间:2014/1/4
是否常用:是
是否有效:现行有效
分类:消防设施
10.3
减压计算
1 应设在直径不小于50mm
的水平直管段上,前后管段的长度均不宜小于该管段直径的5倍;
2 孔口直径不应小于设置管段直径的30%,且不应小于20mm;
3 应采用不锈钢板材制作。
10.3.2 节流管应符合下列规定:
1 直径宜按上游管段直径的1/2确定;
2 长度不宜小于1m;
3 节流管内水的平均流速不应大于20m/s。
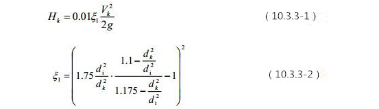
10.3.3 减压孔板的水头损失,应按下列公式计算:

式中:Hk——减压孔板的水头损失(MPa);
Vk——减压孔板后管道内水的平均流速(m/s);
g——重力加速度(m/s2);
——减压孔板的局部阻力系数,也可按表10.3.3取值;dk——减压孔板孔口的计算内径;取值应按减压孔板孔口直径减1mm确定(m);
di——管道的内径(m)。

10.3.4 节流管的水头损失,应按下式计算:

式中:Hg——节流管的水头损失(MPa);
——节流管中渐缩管与渐扩管的局部阻力系数之和,取值0.7;Vg——节流管内水的平均流速(m/s);
dg——节流管的计算内径,取值应按节流管内径减1mm确定(m);
Lj——节流管的长度(m)。
10.3.5 减压阀的水头损失计算应符合下列规定:
1 应根据产品技术参数确定,当无资料时,减压阀阀前后静压与动压差应按不小于0.10MPa 计算;
2 减压阀串联减压时,应计算第一级减压阀的水头损失对第二级减压阀出水动压的影响。
条文说明
10.3 减压计算
10.3.1 本条规定了对设置减压孔板管道前后直线管段的要求,减压孔板的最小尺寸和孔板的材质等。要求减压孔板采用不锈钢板制作,按常规确定的孔板厚度:Φ50~Φ80mm时,δ=3mm;Φ100~Φ150mm时,δ=6mm;Φ200mm时,δ=9mm。
10.3.2 本条规定了节流管的有关技术参数,其结构示意图见图3。
技术要求:L1= D1
L3=D