气体灭火系统设计规范
编号:GB50370-20053.4
IG541混合气体灭火系统
3.4.1
IG541混合气体灭火系统的灭火设计浓度不应小于灭火浓度的1.3倍,惰化设计浓度不应小于惰化浓度的1.1倍。
3.4.2
固体表面火灾的灭火浓度为28.1%,其他灭火浓度可按本规范附录A中表A-3的规定取值,惰化浓度可按本规范附录A中表A-4的规定取值。本规范附录A中未列出的,应经试验确定。
3.4.3
当IG541混合气体灭火剂喷放至设计用量的95%时,其喷放时间不应大于60s,且不应小于48s。
3.4.4
灭火浸渍时间应符合下列规定:
1 木材、纸张、织物等固体表面火灾,宜采用20min;
2
通讯机房、电子计算机房内的电气设备火灾,宜采用10min;
3 其它固体表面火灾,宜采用10min。
3.4.5
储存容器充装量应符合下列规定:
1 一级充压(15.0MPa)系统,充装量应为211.15kg/m³;
2
二级充压(20.0MPa)系统,充装量应为281.06kg/m³。
3.4.6 防护区的泄压口面积,宜按下式计算:

式中 Fx——泄压口面积(m²);
Qx——灭火剂在防护区的平均喷放速率(kg/s);
Pf——围护结构承受内压的允许压强(Pa)。
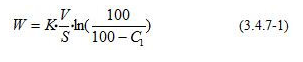
3.4.7
灭火设计用量或惰化设计用量和系统灭火剂储存量,应符合下列规定:
1 防护区灭火设计用量或惰化设计用量应按下式计算:

式中 W——灭火设计用量或惰化设计用量(kg);
C1——灭火设计浓度或惰化设计浓度(%);
V——防护区的净容积(m³);
S——灭火剂气体在101kPa大气压和防护区最低环境温度下的质量体积(m³/kg);
K——海拔高度修正系数,可按本规范附录B的规定取值。
2
灭火剂气体在101kPa大气压和防护区最低环境温度下的质量体积,应按下式计算:

式中 T——防护区最低环境温度(℃);
3
系统灭火剂储存量,应为防护区灭火设计用量及系统灭火剂剩余量之和,系统灭火剂剩余量应按下式计算:

式中 Ws——系统灭火剂剩余量(kg);
Vo——系统全部储存容器的总容积(m³);
Vp——管网的管道内容积(m³)。
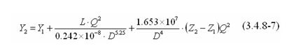
3.4.8
管网计算应符合下列规定:
1 管道流量宜采用平均设计流量。
主干管、支管的平均设计流量,应按下列公式计算:

式中 Qw——主干管平均设计流量(kg/s);
t——灭火剂设计喷放时间(s)。
Qg——支管平均设计流量(kg/s);
Ng——安装在计算支管下游的喷头数量(个);
Qc——单个喷头的设计流量(kg/s)。
2
管道内径宜按下式计算:

式中
D——管道内径(mm);
Q——管道设计流量(kg/s);
3
灭火剂释放时,管网应进行减压。减压装置宜采用减压孔板。减压孔板宜设在系统的源头或干管入口处。
4
减压孔板前的压力,应按下式计算:

式中 P1——减压孔板前的压力(MPa,绝对压力);
Po——灭火剂储存容器充压压力(MPa,绝对压力);
Vo——系统全部储存容器的总容积(m³);
V1——减压孔板前管网管道容积(m³);
V2——减压孔板后管网管道容积(m³)。
5 减压孔板后的压力,应按下式计算:

式中 P2——减压孔板后的压力(MPa,绝对压力);
δ——落压比(临界落压比:δ=0.52)。一级充压(15MPa)的系统,可在δ=0.52~0.60中选用;二级充压(20MPa)的系统,可在δ=0.52~0.55中选用。
6 减压孔板孔口面积,宜按下式计算:

式中 Fk——减压孔板孔口面积(cm²);
Qk——减压孔板设计流量(kg/s);
μk——减压孔板流量系数。
7
系统的阻力损失宜从减压孔板后算起,并按下列公式计算,压力系数和密度系数,应依据计算点压力按本规范附录E确定。

式中 Q——管道设计流量(kg/s);
L——管道计算长度(m);
D——管道内径(mm);
Y1——计算管段始端压力系数(10-1MPa·kg/m³);
Y2——计算管段末端压力系数(10-1MPa·kg/m³);
Z1——计算管段始端密度系数;
Z2——计算管段末端密度系数。
3.4.9
IG541混合气体灭火系统的喷头工作压力的计算结果,应符合下列规定:
1 一级充压(15MPa)系统,
Pc≥2.0(MPa,绝对压力);
2 二级充压(20MPa)系统, Pc≥2.1(MPa,绝对压力)。
3.4.10
喷头等效孔口面积,应按下式计算:

式中 FC——喷头等效孔口面积(cm²);
qc——等效孔口单位面积喷射率[kg/(s·cm²)],可按本规范附录F采用。
3.4.11
喷头的实际孔口面积,应经试验确定,喷头规格应符合本规范附录D的规定。
条文说明
3.4 IG541混合气体灭火系统
3.4.6 泄压口面积是该防护区采用的灭火剂喷放速率及防护区围护结构承受内压的允许压强的函数。喷放速率小,允许压强大,则泄压口面积小;反之,则泄压口面积大。泄压口面积可通过计算得出。由于IG541灭火系统在喷放过程中,初始喷放压力高于平均流量的喷放压力约1倍,故推算结果是,初始喷放的峰值流量约是平均流量的2倍。因此,条文中的计算公式是按平均流量的√2倍求出的。
建筑物的内压允许压强,应由建筑结构设计给出。表4的数据供参考:

3.4.7 第3款中,式(3.4.7-3)按系统设计用量完全释放时,以当时储瓶内温度和管网管道内平均温度计算IG541灭火剂密度而求得。
3.4.8 管网计算
2 式(3.4.8-3)是根据1.1倍平均流量对应喷头容许最小压力下,以及释放近95%设计用量,管网末端压力接近于0.5MPa(表压)时,它们的末端流速皆小于临界流速而求得。
计算选用时,在选用范围内,下游支管宜偏大选用;喷头接管按喷头接口尺寸选用。
4 式(3.4.8-4)是以释放95%的设计用量的一半时的系统状况,按绝热过程求出。
5 减压孔板后的压力,应首选临界落压比进行计算,当由此计算出的喷头工作压力未能满足第3.4.9条的规定时,可改选落压比,但应在本款规定范围内选用。
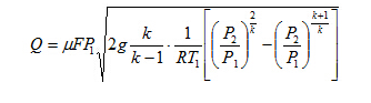
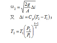
6 式(3.4.8-6)是根据亚临界压差流量计算公式,即

其中T1以初始温度代入而求得。
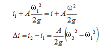
Q式的推导,是设定IG541喷放的系统流程为绝热过程,得

求取孔口和孔口前二截面的方程式,并以
代入,得 
相对于ω2 ,ω1
相当小,从而忽略项ω21,得

最终即可求出Q式。
以上各式中,符号的含义如下:
Q——减压孔板气体流量;
μ——减压孔板流量系数;
F——减压孔板孔口面积;
P1——气体在减压孔板前的绝对压力;
P2——气体在减压孔板孔口处的绝对压力;
g——重力加速度;
k——绝热指数;
R——气体常数;
T1——气体初始绝对温度;
T2——孔口处的气体绝对温度;
Cv——比定容热容;
T——气体绝对温度;
A——功的热当量;
P——气体压力;
v——气体比热容;
ω——气体流速,角速度;
υ——气体流速,线速度;
i1——减压孔板前的气体状态焓;
i2——孔口处的气体状态焓;
ω1——气体在减压孔板前的流速;
ω2——气体在孔口处的流速;
Cp——比定压热容;
减压孔板可按图5设计。其中,d为孔口直径;D为孔口前管道内径;d/D为0.25~0.55。
当 d/D≤0.35,μk=0.6;
0.35k=0.61;
0.45k=0.62。

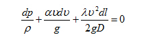
7 系统流程损失计算,采用了可压缩流体绝热流动计入摩擦损失为计算条件,建立管流的方程式:

最后推算出:

式中 ρ——气体密度;
α——动能修正系数;
λ——沿程阻力系数;
dl——长度函数的微分;
dρ——压力函数的微分;
dυ——速度函数的微分;
Y——压力系数;
Z——密度系数;
L——管道计算长度;
由于该式中,压力流量间是隐函数,不便求解,故将计算式改写为条文中形式。
下面用实例介绍IG541混合气体灭火系统设计计算:
某机房为20m*20m*3.5m,最低环境温度20℃,将管网均衡布置。
系统图中:减压孔板前管道(a-b)长15m,减压孔板后主管道(b-c)长75m,管道连接件当量长度9m;一级支管(c-d)长5m,管道连接件当量长度11.9m;二级支管(d-e)长5m,管道连接件当量长度6.3m;三级支管(e-f)长2.5m,管道连接件当量长度5.4m;末端支管(f-g)长2.6m,管道连接件当量长度7.1m。
1)确定灭火设计浓度
依据本规范,取C1=37.5%。
2)计算保护空间实际容积
V=20×20×3.5=1400(m³)。
3)计算灭火设计用量

依据本规范公式(3.4.7-1),
其中,K=1,
S=0.6575+0.0024×20(℃)=0.7055(m³/kg),
4)设定喷放时间
依据本规范,取t=55s。
5)选定灭火剂储存容器规格及储存压力级别
选用70升的15MPa存储容器,根据W=932.68kg,充装系数η=211.15kg/m³,储瓶数n=(932.68/211.15)/0.07=63.1,取整后,n=64(只)。
6)计算管道平均设计流量
主干管:
一级支管:Qg1=Qw/2=8.055(kg/s);
二级支管:Qg2=Qg1/2=4.028(kg/s);
三级支管:Qg3= Qg2/2=2.014(kg/s);
末端支管:Qg4= Qg3/2=1.007(kg/s),即Qc=1.007kg/s。
7)选择管网管道通径
以管道平均设计流量,依据本规范,
初选管径为:
主干管:125mm;
一级支管:80mm;
二级支管:65mm;
三级支管:50mm;
末端支管:40mm。
8)计算系统剩余量及其增加的储瓶数量
V1=0.1178m³,V2=1.1287m³,VP=V1+V2=1.2465
m³;Vo=0.07×64=4.48m³;
依据本规范,Ws≥2.7Vo+2.0VP≥14.589(kg),
计入剩余量后的储瓶数:
n1≥[(932.68+14.589)/211.15]/0.07≥64.089
取整后,n1=65(只)
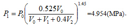
9)计算减压孔板前压力。
依据本规范公式(3.4.8-4):
10)计算减压孔板后压力
依据本规范,P2=δ·P1=0.52×4.954=2.576(MPa)。
11)计算减压孔板孔口面积
依据本规范公式(3.4.8-6):
;并初选μk=0.61,得出Fk=20.570(cm²),d=51.177(mm)。d/D=0.4094;说明μk选择正确。
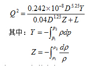
12)计算流程损失
根据P2=2.576(MPa),查本规范附录E表E-1,得出b点Y=566.6,Z=0.5855;
依据本规范(3.4.8-7):
,代入各管段平均流量及计算长度(含沿程长度及管道连接件当量长度),并结合本规范附录E表E-1,推算出:
c点Y=656.9,Z=0.5855;该点压力值P=2.3317MPa;
d点Y=705.0,Z=0.6583;
e点Y=728.6,Z=0.6987;
f点Y=744.8,Z=0.7266;
g点Y=760.8,Z=0.7598。
13)计算喷头等效孔口面积
因g点为喷头入口处,根据其Y、Z值,查本规范附录E表E-1,推算出该点压力Pc=2.011MPa;查本规范附录F表F-1,推算出喷头等效单位面积喷射率qc=
0.4832kg/(s·cm²);
依据本规范,
查本规范附D,可选用规格代号为22的喷头(16只)。