石油天然气工程设计防火规范
编号:GB50183-2004
颁布时间:2005/3/1
是否常用:是
是否有效:现行有效
分类:特殊场所建筑防火
7.3 天然气集输管道
7.3.1 埋地天然气集输管道的线路设计应根据管道沿线居民户数及建(构)筑物密集程度采用相应的强度设计系数进行设计。管道地区等级划分及强度设计系数取值应按现行国家标准《输气管道工程设计规范》GB 50251中有关规定执行。当输送含硫化氢天然气时,应采取安全防护措施。7.3.2 天然气集输管道输送湿天然气,天然气中的硫化氢分压等于或大于0.0003MPa(绝压)或输送其他酸性天然气时,集输管道及相应的系统设施必须采取防腐蚀措施。
7.3.3 天然气集输管道输送酸性干天然气时,集输管道建成投产前的干燥及管输气质的脱水深度必须达到现行国家标准《输气管道工程设计规范》GB 50251中的相关规定。
7.3.4 天然气集输管道应根据输送介质的腐蚀程度,增加管道计算壁厚的腐蚀余量。腐蚀余量取值应按油气集输设计国家现行标准的有关规定执行。
7.3.5 集气管道应设线路截断阀,线路截断阀的设置应按现行国家标准《输气管道工程设计规范》GB 50251的有关规定执行。当输送含硫化氢天然气时,截断阀设置宜适当加密,符合油气集输设计国家现行标准的规定,截断阀应配置自动关闭装置。
7.3.6 集输管道宜设清管设施。清管设施设计应按现行国家标准《输气管道工程设计规范》GB 50251的有关规定执行。
条文说明
7.3 天然气集输管道
7.3.1 在原规范《原油和天然气工程设计防火规范》GB 50183-93中规定:气田集输管道设计除按设计压力选取设计系数F外(如PN<1.6MPa时,F取0.6;PN>1.6MPa时,F取0.5),埋地天然气集输管道与建(构)筑物还应保持一定的距离(如PN≤1.6MPa、DN>400集输管道距居民住宅、重要工矿工防火间距要求大于40m;PN=1.6~4.0Mpa、DN>400防火距离大于60m;PN>4.0MPa、DN>400防火距离大于75m)。实践证明,我国人口众多,地面建筑物稠密,特别在近几年国民经济迅速发展,按原规范要求的安全距离建设集输管道已很困难,已建成的管道随着工业建设的发展也很难保持规范规定的距离。
气田集输管道与长距离输气管道的区别主要是管输天然气中往往含有水、H2S、CO2。气田集输管道输送含水天然气时,天然气中H2S分压等于或大于0.0003MPa(绝压)或含有CO2酸性气体的气田集输管道,在内壁及相应系统应采取防腐蚀措施,管道壁厚增加腐蚀余量后,集气管道线路工程设计所考虑的安全因素与输气管道工程基本一致。因此,采用输气管道工程线路设计的强度安全原则,就能较简单的处理好与周围民用建筑物之间的关系。可由控制集输管道与周围建(构)筑物的距离改成参照输气管道线路设计采用的按地区等级确定设计系数。根据周围人口活动密度,用提高集输管道强度、降低管道运行应力达到安全的目的。
当管道输送含硫化氢的酸性气体时,为防止天然气放空和管道破裂造成的危害,一般采取以下防护措施:
1)点火放空;
2)输送含H2S酸性气体管道避开人口稠密区的四级地区;
3)适当加密线路截断阀的设置;
4)截断阀配置感测压降速率的控制装置。
7.3.2 我国气田产天然气部分携带有H2S、CO2。干天然气中H2S、CO2不产生腐蚀。湿天然气中H2S、CO2的酸性按《天然气地面设施抗硫化物应力开裂金属材料要求》SY/T 0599-1997界定。该规范中对酸性天然气系统的定义是:含有水和硫化氢有天然气,当气体总压大于或等于0.4MPa(绝压),气体中硫化氢分压大于或等于0.0003MPa(绝压)时称酸性天然气。
天然气中二氧化碳含量的酸性界定值目前尚无标准。行业标准《井口装置和采油树规范》SY/T 5127-2002的附录A表A.2对CO2腐蚀性界定可供参考,见表5。
从表中可以看到,当CO2分压≥0.21MPa时不论是酸性环境(天然气中含有H2S)还是非酸性环境中都将有腐蚀发生,应采取防腐措施。表中所列数值为非流动流体的腐蚀性,含水天然气中影响CO2腐蚀的因素除CO2分压外,还有气体流速、流态、管道内表面特征(粗糙度、清洁度)、温度、H2S含量等,在设计中应予考虑。7.3.3 输送脱水后含H2S、 CO2的干天然气不会发生酸性腐蚀。但实际运行中由于各种因素如脱水深度及控制管理水平等影响往往达不到预期的干燥效果,污物清除不干净特别是有积水。当酸性天然气时入管道后,H2S及CO2的水溶液将对管线产生腐蚀,甚至出现硫化物应力腐蚀的爆管或生成大量硫化铁粉末在管道中形成潜在的危害。投产前干燥未达到预期效果造成危害事故已发生多次,因此,投产前的干燥是十分重要的。
管道干燥结束后,如果没有立即投入运行,还应当充入干燥气体,保持内压大于0.2MPa的干燥状态下密封,防止外界湿气重新进入管道。
7.3.4 气田集输管道输送酸性天然气时,管道的腐蚀余量取值按国家现行油气集输设计标准规范执行。
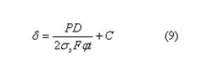
集气管道输送含有水和H2S、CO2等酸性介质时,管壁厚度按下式计算:
(9)管壁厚度

式中:C——腐蚀裕量附加值(cm)(根据腐蚀程度及采取的防腐措施,C值取0.1~0.6cm);
其他符号意义及取值按现行国家标准《输气管道工程设计规范》GB 50251执行,但输送酸性天然气时,F值不得大于0.6。
7.3.5 气田集输管道上间隔一定距离设截断阀,其主要目的是方便维修和当管道破坏时减少损失,防止事故扩大。长距离输气管道是按地区等级以不等间距设置截断阀,集输管道原则上可参照输气管道设置。但对输送含硫化氢的天然气管道为减少事故的危害程度和环境污染的范围,特别是通过人口稠密区时截断阀适当加密,配置感测压降速率控制装置,以便事故发生时能及时切断气源,最大限度地减少含硫天然气对周围环境的危害。
7.3.6 气田集输系统设置清管设施主要清除气田天然气中的积液和污物以减少管道阻力及腐蚀。清管设计应按现行国家标准《输气管道工程设计规范》GB 50251中有规定执行。