人民防空工程设计防火规范
编号:GB50098-2009
颁布时间:2009/10/1
是否常用:是
是否有效:现行有效
分类:特殊场所建筑防火
7.6
室内消防给水管道、室内消火栓和消防水箱
1 室内消防给水管道宜与其它用水管道分开设置;当有困难时,消火栓给水管道可与其它给水管道合用,但当其它用水达到最大小时流量时,应仍能供应全部消火栓的消防用水量;
2 当室内消火栓总数大于10 个时,其给水管道应布置成环状,环状管网的进水管宜设置两条,当其中一条进水管发生故障时,另一条应仍能供应全部消火栓的消防用水量;
3 在同层的室内消防给水管道,应采用阀门分成若干独立段,当某段损坏时,停止使用的消火栓数不应大于5个;阀门应有明显的启闭标志;
4 室内消火栓给水管道应与自动喷水灭火系统的给水管道分开独立设置。
7.6.2 室内消火栓的设置应符合下列规定:
1 室内消火栓的水枪充实水柱应通过水力计算确定,且不应小于10m;
2 室内消火栓栓口的出水压力大于0.5MPa时,应设置减压装置;
3 室内消火栓的间距应由计算确定;当保证同层相邻有两支水枪的充实水柱同时到达被保护范围内的任何部位时,消火栓的间距不应大于30m;当保证有一支水枪的充实水柱到达室内任何部位时,不应大于50m;
4 室内消火栓应设置在明显易于取用的地点;消火栓的出水方向宜向下或与设置消火栓的墙面相垂直;栓口离室内地面高度宜为1.1m;同一工程内应采用统一规格的消火栓、水枪和水带,每根水带长度不应大于25m;
5 设置有消防水泵给水系统的每个消火栓处,应设置直接启动消防水泵的按钮,并应有保护措施。
6
室内消火栓处应同时设置消防软管卷盘,其安装高度应便于使用,栓口直径宜为25mm,喷嘴口径不小于6mm,配备的胶带内径不宜小于19mm。
7.6.3 单建掘开式、坑道式、地道式人防工程当不能设置高位消防水箱时,宜设置气压给水装置。气压罐的调节容积:消火栓系统不应小于300L,喷淋系统不应小于150L。
条文说明
7.6 室内消防给水管道、室内消火栓和消防水箱
7.6.1 室内消防管道是室内消防给水系统的重要组成部分,为有效地供给消防用水,应采取必要的技术措施:
1
室内消防给水管道宜与其他用水管道分开设置,特别是对于大、中型人防工程,其他用水如空调冷却水、柴油电站冷却水及生活用水较多时,宜与消防给水管道分开设置,以保证消防用水供水安全;当分开设置有困难时,可与消火栓管道合用,但其他用水量达到最大小时流量时,应保证仍能供给全部消防用水量。
2
环状管网供水比较安全,当某段损坏时,仍能供应必要的水量,本条规定主要指当消火栓超过10个的消火栓给水管道设置环状管网。为了保证消防供水安全可靠,规定环状管网宜设置两条进水管,使进水管有充分的供水能力,即任一进水管损坏时,其余进水管应仍能供应全部消防水量。若室外给水管网为枝状或引入两条进水管有困难,可设置一条进水管,但消防泵房的供水管必须有两条与消火栓环状管网连接。
坑道式、地道式工程设置环状管网有困难时,可采用支状管网,同时在管网相距最远的两端均应按本规范第7.5.2条设置水泵结合器。
人防工程一般生活、生产用水量较小,消防进水管可以单独设置,并不设水表,以免影响进水管供水能力,若要设置水表时,应按消防流量选表。
3
环状管网上设置阀门分成若干独立段,是为了保证管网检修或某段损坏时,仍能供给必要的消防用水,两个阀门之间停止使用的消火栓数量不应超过5个。多层人防工程消防给水竖管上阀门的布置应保证一条竖管检修时,其余竖管仍能供应消防用水量。
4
规定消火栓给水管道和自动喷水灭火系统给水管道应分开独立设置,主要是防止消火栓或其他用水设备漏水或用水时,引起自动喷水系统的水力报警阀误报;另外,火灾时两个系统储水时间及用水量相差较大,难以保证各系统同时满足规范要求。
7.6.2本条对消火栓的设置作了规定。
1
消火栓的水压应保证水枪有一定长度的充实水柱。充实水柱的长度要求是根据消防实践经验确定的。我国扑救低层建筑火灾的水枪充实水柱长度一般在(10~17)m之间。火场实践证明,当口径19mm水枪的充实水柱长度小于10m时,由于火场烟雾较大、辐射热高,尤其是地下建筑,排烟困难,温升又快,很难扑救火灾。当充实水柱增大,水枪的反作用力也随之增大,如表1所示。经过训练的消防队员能承受的水枪最大反作用力不应超过20kg,一般人员不大于15kg。火场常用的充实水柱长度一般在(10~15)m。为了节省投资和满足火场灭火的基本要求,规定人防工程室内消火栓充实水柱长度不应小于10m,并应经过水力计算确定。
水枪的充实水柱长度可按下式计算:

式中:Sk——水枪的充实水柱长度(m);
H1——被保护建筑物的层高(m);
H2——消火栓安装高度(一般距地面1.1m);
a——水枪上倾角,一般为45。,若有特殊困难可适当加大,但不应大于60。。
表1 口径19mm水枪的反作用力
充实水柱长度(m)
水枪口压力(kg/cm。)
水枪反作用力(kg)
10
1.35
7.65
11
1.50
8.51
12
1.70
9.63
13
2.05
11.62
14
2.45
13.80
15
2.70
15.31
16
3.25
18.42
17
3.55
20.13
18
4.33
24.38 2
消火栓栓口的压力,火场实践证明,水枪的水压过大,开闭时容易产生水锤作用,造成给水系统中的设备损坏;一人难以握紧使用;同时水枪流量也大大超过5L/s,易在短时间内用完消防储水量,对扑救初期火灾极为不利。当栓口出水压力大于0.50MPa时,应设置减压装置,减压装置一般采用减压孔板或减压阀,减压后消火栓处压力应仍能满足水枪充实水柱要求。
3
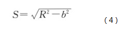
消火栓的间距十分重要,它关系到初期火灾能否被及时有效地控制和扑灭,关系到起火建筑物内人身和财产安危。统计资料表明,一支水枪扑救初期火灾的控制率仅为40%左右,两支水枪扑救初期火灾的控制率达65%左右。因此,本条规定当同时使用水枪数量为两支时,应保证同层相邻有两支水枪(不是双出口消火栓)的充实水柱同时到达被保护范围内的任何部位,其间距不应大于30m,如图6所示。

A、B、C、D、E室内消火栓;R消火栓的保护半径(m);
s一消火栓间距(m);b一消火栓实际保护最大宽度
消火栓的间距可按下式计算:

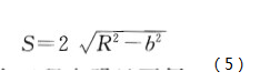
当同时使用水枪数量为一支时,保证有一支水枪的充实水柱到达室内任何部位,其间距不应大于50m,消火栓的布置如图7所示。

A、B、C室内消火栓;R消火栓的保护半径(m);
S一消火栓间距(m);b一消火栓实际保护最大宽度
消火栓的间距可按下式计算:
4 消火栓应设置在工程内明显而便于灭火时取用的地方。为了使人员能及时发现和使用,消火栓应有明显的标志,消火栓应涂红色,并不应伪装成其他东西。
为了减少局部水压损失,消火栓的出口宜与设置消火栓的墙面成90度角。
在同一工程内,如果消火栓栓口、水带和水枪的规格、型号不同,就无法配套使用,因此规定同一工程内应用统一规格的消火栓、水枪和水带。火场实践证明,室内消火栓配备的水带过长,不便于扑救室内初期火灾。消防队使用的水带长度一般为20m,为节省投资,同时考虑火场操作的可能性,要求水带长度不应大于25In。
5
为及时启动消防水泵,本条规定设置有消防水泵给水系统的每个消火栓处应设置直接启动消防水泵的按钮,以便迅速远距离启动。为了防止误启动,要求按钮应有保护措施,一般可放在消火栓箱内或装有玻璃罩的壁龛内。
6
室内消火栓处设置消防软管卷盘,以方便非消防专业人员进行操作灭火。
7.6.3 单建掘开式、坑道式、地道式人防工程由于受条件限制,有时设置高位消防水箱很难,故规定在此类人防工程中,当不能设置高位消防水箱时,宜设置气压给水装置,一旦发生火灾,气压给水装置是可以保证及时供水的。
防空地下室可以与地面建筑的消防稳压水箱合用。