民用建筑电气设计规范
编号:JGJ16-20086.1
自备应急柴油发电机组
6.1.1
本节适用于发电机额定电压为230/400V,机组容量为2000kW及以下的民用建筑工程中自备应急低压柴油发电机组的设计。自备应急柴油发电机组的设计应符合下列规定:
1
符合下列情况之一时,宜设自备应急柴油发电机组:
1)为保证一级负荷中特别重要的负荷用电时;
2)用电负荷为一级负荷,但从市电取得第二电源有困难或技术经济不合理时。
2
机组宜靠近一级负荷或配变电所设置。柴油发电机房可布置于建筑物的首层、地下一层或地下二层,不应布置在地下三层及以下。当布置在地下层时,应有通风、防潮、机组的排烟、消声和减振等措施并满足环保要求。
3
机房宜设有发电机间、控制及配电室、储油间、备品备件储藏间等。设计时可根据工程具体情况进行取舍、合并或增添。
4
当机组需遥控时,应设有机房与控制室联系的信号装置。当有要求时,控制柜内宜留有通信接口,并可通过BAS系统对其实时监控。
5
当电源系统发生故障停电时,对不需要机组供电的配电回路应自动切除。
6
发电机间、控制室及配电室不应设在厕所、浴室或其他经常积水场所的正下方或贴邻。
7
设置在高层建筑内的柴油发电机房,应设置火灾自动报警系统和除卤代烷1211、1301以外的自动灭火系统。除高层建筑外,火灾自动报警系统保护对象分级为一级和二级的建筑物内的柴油发电机房,应设置火灾自动报警系统和移动式或固定式灭火装置。
6.1.2
柴油发电机组的选择应符合下列规定:
1
机组容量与台数应根据应急负荷大小和投入顺序以及单台电动机最大启动容量等因素综合确定。当应急负荷较大时,可采用多机并列运行,机组台数宜为2~4台。当受并列条件限制,可实施分区供电。当用电负荷谐波较大时,应考虑其对发电机的影响。
2
在方案及初步设计阶段,柴油发电机容量可按配电变压器总容量的10%~20%进行估算。在施工图设计阶段,可根据一级负荷、消防负荷以及某些重要二级负荷的容量,按下列方法计算的最大容量确定:
1)按稳定负荷计算发电机容量;
2)按最大的单台电动机或成组电动机启动的需要,计算发电机容量;
3)按启动电动机时,发电机母线允许电压降计算发电机容量。
3
当有电梯负荷时,在全电压启动最大容量笼型电动机情况下,发电机母线电压不应低于额定电压的80%;当无电梯负荷时,其母线电压不应低于额定电压的75%。当条件允许时,电动机可采用降压启动方式。
4
多台机组时,应选择型号、规格和特性相同的机组和配套设备。
5
宜选用高速柴油发电机组和无刷励磁交流同步发电机,配自动电压调整装置。选用的机组应装设快速自启动装置和电源自动切换装置。
6.1.3 机房设备的布置应符合下列规定:
1
机房设备布置应符合机组运行工艺要求,力求紧凑、保证安全及便于维护、检修。
2
机组布置应符合下列要求:
1)机组宜横向布置,当受建筑场地限制时,也可纵向布置;
2)机房与控制室、配电室贴邻布置时,发电机出线端与电缆沟宜布置在靠控制室、配电室侧;
3)机组之间、机组外廊至墙的净距应满足设备运输、就地操作、维护检修或布置辅助设备的需要,并不应小于表6.1.3-1及图6.1.3的规定。

注:当机组按水冷却方式设计时,柴油机端距离可适当缩小;当机组需要做消声工程时,尺寸应另外考虑。

3
辅助设备宜布置在柴油机侧或靠机房侧墙,蓄电池宜靠近所属柴油机。
4
机房设置在高层建筑物内时,机房内应有足够的新风进口及合理的排烟道位置。机房排烟应避开居民敏感区,排烟口宜内置排烟道至屋顶。当排烟口设置在裙房屋顶时,宜将烟气处理后再行排放。
5
机组热风管设置应符合下列要求:
1)热风出口宜靠近且正对柴油机散热器;
2)热风管与柴油机散热器连接处,应采用软接头;
3)热风出口的面积不宜小于柴油机散热器面积的1.5倍;
4)热风出口不宜设在主导风向一侧,当有困难时,应增设挡风墙;
5)当机组设在地下层,热风管无法平直敷设需拐弯引出时,其热风管弯头不宜超过两处。
6
机房进风口设置应符合下列要求:
1)进风口宜设在正对发电机端或发电机端两侧;
2)进风口面积不宜小于柴油机散热器面积的1.6倍;
3)当周围对环境噪声要求高时,进风口宜做消声处理。
7
机组排烟管的敷设应符合下列要求:
1)每台柴油机的排烟管应单独引至排烟道,宜架空敷设,也可敷设在地沟中。排烟管弯头不宜过多,并应能自由位移。水平敷设的排烟管宜设坡外排烟道0.3%~0.5%的坡度,并应在排烟管最低点装排污阀;
2)机房内的排烟管采用架空敷设时,室内部分应敷设隔热保护层;
3)机组的排烟阻力不应超过柴油机的背压要求,当排烟管较长时,应采用自然补偿段,并加大排烟管直径。当无条件设置自然补偿段时,应装设补偿器;
4)排烟管与柴油机排烟口连接处应装设弹性波纹管;
5)排烟管穿墙应加保护套,伸出屋面时,出口端应加防雨帽;
6)非增压柴油机应在排烟管装设消声器。两台柴油机不应共用一个消声器,消声器应单独固定。
8
机房设计时应采取机组消声及机房隔声综合治理措施,治理后环境噪声不宜超过表6.1.3-2的规定。

6.1.4
设于地下层的柴油发电机组,其控制屏及其他电气设备宜选择防潮型产品。
6.1.5 机房配电线缆选择及敷设应符合下列规定:
1
机房、储油间宜按多油污、潮湿环境选择电力电缆或绝缘电线;
2
发电机配电屏的引出线宜采用耐火型铜芯电缆、耐火型封闭式母线或矿物绝缘电缆;
3
控制线路、测量线路、励磁线路应选择铜芯控制电缆或铜芯电线;
4
控制线路、励磁线路和电力配线宜穿钢导管埋地敷设或采用电缆沿电缆沟敷设;
5 当设电缆沟时,沟内应有排水和排油措施。
6.1.6 附属设备的控制方式应符合下列规定:
1
附属设备电动机的控制方式应与机组控制方式一致;
2 柴油机冷却水泵宜采用就地控制和随机组运行联动控制;
3
高位油箱供油泵宜采用就地控制或液位控制器进行自动控制。
6.1.7 控制室的电气设备布置应符合下列规定:
1
单机容量小于或等于500kW的装集式单台机组可不设控制室;单机容量大于500kW的多台机组宜设控制室。
2
控制室的位置应便于观察、操作和调度,通风、采光应良好,进出线应方便。
3 控制室内不应有油、水等管道通过,不应安装无关设备。
4
控制室内的控制屏(台)的安装距离和通道宽度应符合下列规定:
1)控制屏正面操作宽度,单列布置时,不宜小于1.5m;双列布置时,不宜小于2.0m;
2)离墙安装时,屏后维护通道不宜小于0.8m。
5
当控制室的长度大于7m时,应设有两个出口,出口宜在控制室两端。控制室的门应向外开启。
6
当不需设控制室时,控制屏和配电屏宜布置在发电机端或发电机侧,其操作维护通道应符合下列规定:
1)屏前距发电机端不宜小于2.0m;
2)屏前距发电机侧不宜小于1.5m。
6.1.8 发电机组的自启动应符合下列规定:
1
机组应处于常备启动状态。一类高层建筑及火灾自动报警系统保护对象分级为一级建筑物的发电机组,应设有自动启动装置,当市电中断时,机组应立即启动,并应在30s内供电。
当采用自动启动有困难时,二类高层建筑及二级保护对象建筑物的发电机组,可采用手动启动装置。
机组应与市电连锁,不得与其并列运行。当市电恢复时,机组应自动退出工作,并延时停机。
2
为了避免防灾用电设备的电动机同时启动而造成柴油发电机组熄火停机,用电设备应具有不同延时,错开启动时间。重要性相同时,宜先启动容量大的负荷。
3
自启动机组的操作电源、机组预热系统、燃料油、润滑油、冷却水以及室内环境温度等均应保证机组随时启动。水源及能源必须具有独立性,不得受市电停电的影响。
4
自备应急柴油发电机组自启动宜采用电启动方式,电启动设备应按下列要求设置:
1)电启动用蓄电池组电压宜为12V或24V,容量应按柴油机连续启动不少于6次确定;
2)蓄电池组宜靠近启动电机设置,并应防止油、水浸入;
3)应设置整流充电设备,其输出电压宜高于蓄电池组的电动势50%,输出电流不小于蓄电池10h放电率电流。
6.1.9 发电机组的中性点工作制应符合下列规定:
1
发电机中性点接地应符合下列要求:
1)只有单台机组时,发电机中性点应直接接地,机组的接地形式宜与低压配电系统接地形式一致;
2)当两台机组并列运行时,机组的中性点应经刀开关接地;当两台机组的中性导体存在环流时,应只将其中一台发电机的中性点接地;
3)当两台机组并列运行时,两台机组的中性点可经限流电抗器接地。
2
发电机中性导体上的接地刀开关,可根据发电机允许的不对称负荷电流及中性导体上可能出现的零序电流选择。
3
采用电抗器限制中性导体环流时,电抗器的额定电流可按发电机额定电流的25%选择,阻抗值可按通过额定电流时其端电压小于10V选择。
6.1.10 柴油发电机组的自动化应符合下列规定:
1
机组与电力系统电源不应并网运行,并应设置可靠连锁。
2
选择自启动机组应符合下列要求:
1)当市电中断供电时,单台机组应能自动启动,并应在30s内向负荷供电;
2)当市电恢复供电后,应自动切换并延时停机;
3)当连续三次自启动失败,应发出报警信号;
4)应自动控制负荷的投入和切除;
5)应自动控制附属设备及自动转换冷却方式和通风方式。
3
机组并列运行时,宜采用手动准同期。当两台自启动机组需并车时,应采用自动同期,并应在机组间同期后再向负荷供电。
6.1.11 储油设施的设置应符合下列规定:
1
当燃油来源及运输不便时,宜在建筑物主体外设置40~64h耗油量的储油设施;
2
机房内应设置储油间,其总储存量不应超过8.0h的燃油量,并应采取相应的防火措施;
3
日用燃油箱宜高位布置,出油口宜高于柴油机的高压射油泵;
4
卸油泵和供油泵可共用,应装设电动和手动各一台,其容量应按最大卸油量或供油量确定。
6.1.12 柴油发电机房的照明、接地与通信应符合下列规定:
1
机房各房间的照度应符合表6.1.12的规定;

2
发电机间、控制及配电室应设备用照明,其照度不应低于表6.1.12的规定,持续供电时间不应小于3h;
3
机房内的接地,宜采用共用接地。
4 燃油系统的设备与管道应采取防静电接地措施。
5
控制室与值班室应设通信电话,并应设消防专用电话分机。
6.1.13 当设计柴油发电机房时,给水排水、暖通和土建应符合下列规定:
1
给水排水
1)柴油机的冷却水水质,应符合机组运行技术条件要求;
2)柴油机采用闭式循环冷却系统时,应设置膨胀水箱,其装设位置应高于柴油机冷却水的最高水位;
3)冷却水泵应为一机一泵,当柴油机自带水泵时,宜设1台备用泵;
4)机房内应设有洗手盆和落地洗涤槽。
2
暖通:
1)宜利用自然通风排除发电机间内的余热,当不能满足温度要求时,应设置机械通风装置;
2)当机房设置在高层民用建筑的地下层时,应设置防烟、排烟、防潮及补充新风的设施;
3)机房各房间温湿度要求宜符合表6.1.13-1的规定;

4)安装自启动机组的机房,应满足自启动温度要求。当环境温度达不到启动要求时,应采用局部或整机预热措施。在湿度较高的地区,应考虑防结露措施。
3
土建:
1)机房应有良好的采光和通风;
2)发电机间宜有两个出入口,其中一个应满足搬运机组的需要。门应为甲级防火门,并应采取隔声措施,向外开启;发电机间与控制室、配电室之间的门和观察窗应采取防火、隔声措施,门应为甲级防火门,并应开向发电机间;
3)储油间应采用防火墙与发电机间隔开;当必须在防火墙上开门时,应设置能自行关闭的甲级防火门;
4)当机房噪声控制达不到现行国家标准《城市区域环境噪声标准》GB
3096的规定时,应做消声、隔声处理;
5)机组基础应采取减振措施,当机组设置在主体建筑内或地下层时,应防止与房屋产生共振;
6)柴油机基础宜采取防油浸的设施,可设置排油污沟槽,机房内管沟和电缆沟内应有0.3%的坡度和排水、排油措施;
7)机房各工作房间的耐火等级与火灾危险性类别应符合表6.1.13-2的规定。
.
条文说明
6.1
自备应急柴油发电机组
机组额定电压为230/400V,单机容量定为2000kW及以下。
主要依照国家标准《往复式内燃机驱动的交流发电机组》GB/T
2820、《自动化柴油发电机组分级要求》GB/T 4712以及《交流工频移动电站额定功率、电压及转速(功率自0.75~2000kW)》GB
12699所规定的机组功率和电压而定。
目前我国柴油发电机市场主要分两大类:一是功率100~2000kW进口机组。二是国产机组,大多功率在400kW以下。目前国产柴油发电机组种类很多,按组装形式可分拖车式、移动式(或称滑动式)、固定式三种。冷却方式有风冷式(又称封闭自循环水冷却方式)和水冷式。启动方式有电启动和压缩空气启动,还有带增压器的增压机组和不带增压器的机组等。
本节中所有条文的规定是以国家标准《往复式内燃机驱动的交流发电机组》GB/T
2820中固定式、应急型柴油发电机组的有关技术数据为依据而制定。对于采用进口机组时,也应遵照执行。
6.1.1 一般规定
第1款
1)此项的规定,是按本规范第3.2.1条1款所规定的一级负荷中特别重要负荷,宜设应急柴油发电机组。
2)此项的规定,需设置自备应急机组时,应进行经济、技术比较后确定。
第2款
机组设置规定
①机组靠近负荷中心,为节省有色金属和电能消耗,确保电压质量;
②机组的设置应遵照有关规范对防火的要求,并防止噪声、振动等对周围环境的影响;
③从保证机组有良好工作环境(如排烟、通风等)考虑,最好将机组布置在建筑物首层,但大型民用建筑的首层,往往是黄金层,难以占用。根据调查,目前国内高层建筑的柴油发电机组已有不少设在地下层,运行效果良好。机组设在地下层最关键的一定要处理好通风、排烟、消声和减振等问题。
第5款
应急柴油发电机组确保的供电范围一般为:
①消防设施用电:消防水泵、消防电梯、防烟排烟设施、火灾自动报警、自动灭火装置、应急照明和电动的防火门、窗、卷帘门等;
②保安设施、通信、航空障碍灯、电钟等设备用电;
③航空港、星级饭店、商业、金融大厦中的中央控制室及计算机管理系统;
④大、中型电子计算机室等用电;
⑤医院手术室、重症监护室等用电;
⑥具有重要意义场所的部分电力和照明用电。
6.1.2 发电机组的选择
第1款
确定机组容量时,除考虑应急负荷总容量之外,应着重考虑启动电动机容量。因单台电动机最大启动容量对确定机组容量有直接关系。决定机组能启动电动机容量大小的因素又很多,它与发电机的技术性能、柴油机的调速性能、电动机的极对数和启动时发电机所带负荷大小和功率因数的高低、发电机的励磁和调压方式以及用电负荷对电压指标的要求等因素有关。因此,设计确定机组容量,应具体分析区别对待。
为了便于设计参考,三相低压柴油发电机组在空载时,能全电压直接启动的空载四极笼型三相异步电动机最大容量可参见表6-1。

注:①P为柴油发电机功率。
但应注意,表6-1所列数值,没有考虑电动机直接启动对机组母线电压降加以限制,是以全电压直接启动电动机时,电动开关和失压保护不应跳闸为条件。
第2款
根据国内外一些高层建筑用电指标统计,应急发电机容量约占供电变压器总容量的10%~20%。国外建筑物配电变压器容量一般选择得较富裕,因此后一个指标偏差较大。
根据我国现实情况,建筑物规模大时取下限,规模小时取上限。
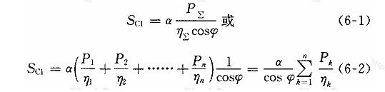
发电机组的容量可分别按下列公式计算:
①按稳定负荷计算发电机容量;

式中
P∑——总负荷(kW);
Pk——每个或每组负荷容量(kW);
ηk—一每个或每组负荷的效率;
η∑——总负荷的计算效率,一般取0.82~0.88;
α——负荷率;
cosφ——发电机额定功率因数,可取0.8。
②按最大的单台电动机或成组电动机启动的需要,计算发电机容量;

式中
Pm——启动容量最大的电动机或成组电动机的容量(kW)
cosφm——电动机的启动功率因数,一般取0.4;
K——电动机的启动倍数;
C——按电动机启动方式确定的系数;
全压启动:C=1.0
Y-△启动C=0.67
自耦变压器启动:
50%抽头C=0.25
65%抽头C=0.42
80%抽头C=0.64
P∑、η∑、cosφ意义同公式(6-2)。
③按启动电动机时母线容许电压降计算发电机容量。

式中
Pn——电动机总容量(kW);
X"d——发电机的暂态电抗,一般取0.25;
△E——应急负荷中心母线允许的瞬时电压降。一般△E取0.25~0.3(有电梯时取0.2UH);
K、C——意义同公式(6-3)。
公式(6-4)适用于柴油发电机与应急负荷中心距离很近的情况。
如果外界气压、温度、湿度等条件不同时,则应按照表6-2~表6-5中所列之校正系数进行校正。
即,实际功率=额定功率×C




第3款
规定母线电压不得低于80%,基于下列几方面的因素:
①保证电动机有足够的启动转矩,因启动转矩是与电源电压的平方成正比的;
②不致因母线电压过低而影响其他用电设备的正常工作,尤其是对电压比较敏感的设备;
③要保证接触器等开关接触设备的吸引线圈能可靠地工作。
当直接启动大容量的笼型电动机时,发电机母线的电压降落太大,影响应急电力设备启动或正常运行时,不应首先考虑加大发电机组的容量,而应采取其他措施来减少发电机母线的电压波动,例如采用电动机降压启动方式等。
第5款
据有关资料介绍,国外高层建筑中所采用的应急柴油发电机组基本上为高速机组。目前国内一些高层建筑用的应急柴油发电机已向高速型转化,此种机组具有体积小、重量轻、启动运行可靠等优点。
当无刷励磁交流同步发电机与自动电压调整装置配套使用时,其静态电压调整率可保证在±(1.0%~2.5%)以内。这种类型机组能适应各种运行方式,易于实现机组自动化或对发电机组的遥控。
目前国产柴油发电机组启动时间可以小于15s,有的厂产品可在4~7s,保证值为15s。
6.1.3 机房设备布置
第1~3款
机房内主要设备有柴油发电机组、控制屏、操作台、电力及照明配电箱、启动蓄电池、燃油供给和冷却、进排风系统以及维护检修设备等。机房的布置要根据机组容量大小和台数而定。小容量机组一般机电一体,不用设控制室。机组容量较大,可把机房和控制室分开布置,这样有利于改善工作条件。
机房布置方式及各部位有关最小尺寸,是根据机组运行维护、辅助设备布置、进排风以及施工安装等需要,并结合目前封闭式自循环水冷却方式的应急型机组的外廓尺寸提出的。机房布置主要以横向布置(垂直布置)为主,这种布置机组中心线与机房的轴线相垂直,操作管理方便,管线短,布置紧凑。
第5款
机组热风出口位置,应避免经常有自然风顶吹的方向,并应在热风出口设百叶窗,其百叶窗净空不要太小。因散热器的吹风扇风压降一般在127Pa以下,以免影响散热效果和机组出力。
机组设在地下层,热风管引出室外最好平直。如要拐弯引出,其弯头不宜超过两处,拐弯应大于或等于90°,而且内部要平滑,以免阻力过大影响散热。
如机组设在地下层其热风管又无法伸出室外,不应选整体风冷机组,应改选分体式散热机组,即柴油机夹套内的冷却器由水泵送至分体式水箱冷却方式。目前国内有许多厂家也接受订货。
第6款
柴油发电机运行时,机房的换气量应等于或大于维持柴油机燃烧所用新风量与维持机房温度所需新风量之和。据国外有关资料介绍,维持机房温度所需新风量可按下式确定:
C=0.078P/T (6-5)
式中
C——需要新风量(m3/s);
P——柴油机额定功率(kW);
T——柴油发电机房的温升(℃)。
维持柴油机燃烧所需新风量可向柴油机厂家索取,当海拔高度增加时,每增加763m,空气量应增加10%。若无资料,可按每1kW制动功率需要0.1m3/min估算。
第7款
机组排烟管伸出室外的位置很重要,如调查某一高级饭店,其机房排烟管道正好设在主建筑物客房上风侧,机组运行时烟气正吹向客房,影响很不好。
排烟管系统的作用是将气缸里的废气排放室外,排烟系统应尽量减少背压,因为废气阻力的增加将导致柴油机出力的下降及温升的增加。
排烟系统的压降为管路、消声器、防雨帽等各部分压降之和,总的压降以不超过6720Pa为宜。
排烟管敷设方式有两种:一是水平架空敷设,优点是转弯少、阻力小。其缺点增加室内散热量,使机房内温度升高。二是地沟敷设,优点是在地沟内散热量小,对湿热带尤为适宜。其缺点排烟管转弯多,阻力比架空敷设大。
排烟管温度一般为350—550℃,为防止烫伤和减少辐射热,其排烟管宜进行保温处理,以减少排烟管的热量散到房间内增高机房温度。保温表面温度不应超过50℃,保温措施一般按热力保温方法处理。
排烟噪声在柴油机总噪声中属于最强烈的一种噪声,其频谱是连续的,排烟噪声的强度最高可达110~130dB,而对机房和周围环境有较大的影响。所以应设消声器,以减少噪声。
排烟管的热膨胀可由弯头或来回弯补偿,也可设补偿器、波纹管、套筒伸缩节补偿。
第8款
条文规定的环境噪声标准,引自国家标准《城市区域环境噪声标准》GB 3096的规定。
6.1.5
根据调查,发电机容量较大时,其出线截面大且导线根数多,再加各种控制回路和配出线路,显得机房内管线较多。为了敷线方便及维护安全,在发电机出口、控制屏或控制室以及配电线路出口等各处之间设电缆沟并贯通一起比较适宜。
6.1.7 控制室的电气设备布置
第1款
根据国内调查,应急型机组单机容量在500kW及以下不设控制室为多数,反映尚好。单机容量在500kW以上的及多台机组,考虑运行维护和管理方便,可设控制室宜于集中控制。
第2~5款
控制室的主要设备有发电机控制屏、机组操作台、动力控制屏(台)、低压配电屏及照明配电箱等。其布置与低压配电室的要求相同。主要要求操作人员便于观察控制屏或台上仪表,并能通过观察窗看到机组运行情况。
控制室的控制屏(台)一般数量不多,维护通道为0.8m是可以的,但在具体工程设计中,如条件允许,可适当放大些,配电装置的最高点距房顶不应小于0.5m。
6.1. 8 发电机组的自启动
第1款
应急机组是保证建筑物安全的重要设备,它的首要任务必须在应急情况下,能够可靠启动并投入正常运行,以满足使用要求。
与市网不得并列运行,是考虑到一旦机组发生故障时,不要波及到市网,而扩大了故障范围。如市网有故障,因与机组未并网,也易于临机处理,避免发生意外事故。连锁的目的就是防止误并列。
第3款
机房在寒冷地区应采暖,为保证机组应急时顺利启动,机房最低温度应根据产品要求,但一般不应低于5℃,最高温度不应超过35℃,相对湿度应小于75%。
自启动机组的冷却水应能自流供给,若水源不可靠,应设储水箱或储水池。
为了确保机组启动具有足够的能量,除机组具有充电能力外,在备用过程中应具有浮充电装置。
为保证机组在应急时使用,必须储备一定数量的燃料油,还应设两个以上柴油储油箱,便于新油沉淀。
第4款
启动蓄电池由机组随机供给,工作电压为12V或24V。机组启动时启动电流很大,为减少启动电压降,启动蓄电池应设置在机组的启动电动机附近。因机组不经常工作,为了补充蓄电池自放电,应设置充电装置。
6.1.9 发电机组的中性点工作制
弟1~3款
三相四线制的中性点是直接接地,它的优点是降低了系统的内部过电压倍数,当一相接地时,相间电压为中性点所固定,基本不会升高。而且电力与照明可以由同一发电机母线供电。
在三相四线制中,当两台或多台机组并列运行时,中性导体就会产生三次谐波环流,环流的大小与下列因素有关:
①三相负载的不平衡度;
②两机有功负载分配的不平衡度;
③两机无功负载分配即功率因数的差异程度。
又因中性点引出导体上的三次谐波电流,徒然使发电机发热,降低其出力,必须加以限制,限制中性导体电流可采用下列方法:
①中性点引出导体上加装刀开关。在每台发电机的中性点引出导体上装刀开关,以切断发电机间谐波电流的环流回路,在运行中根据谐波电流的大小和分布情况,决定断开一台发电机的中性点引出导体。但至少应保持一台发电机的中性点和中性母线接通,以保证对220V设备的供电。但这种方法的缺点是把220V的不平衡(零序)负荷完全加在少数发电机上,加大了这些发电机三相负荷的不平衡程度,而且系统单相接地短路电流也集中在这些发电机上。
②中性点引出导体上装设电抗器。在每台发电机的中性点引出导体上装设电抗器,在保持中性母线电位偏移不大的条件下,有效地限制了中性点引出导体的谐波电流在允许范围内。
6.1.10 柴油发电机组的自动化
第2款
当机组作为应急电源时,应设自启动装置:当市电中断供电时,机组自动启动,并在30s内向负荷供电。当市电恢复正常后,能自动或手动切换电源停机,其他均为就地操作。
近年来柴油发电机组自动化控制发展很快,在许多工程中已广泛应用,控制系统已从最早的继电器系统,发展至今的计算机控制系统。控制功能已比较完善,可以做到机组无人值守。自动化机组的功能,能自启动、自动调压、自动调频、自动调载、自动并车、按负荷大小自动增减机组、故障自动处理、辅机自动控制等。
根据国家标准《自动化柴油发电机组分级要求》GB/T
4712,其自动化程度分为三级,可依具体工程选定。
第3款
机组并车方法,包括手动准同期及自动同期并车。即在频率相同、电压相位相同时并车。并车时冲击电流小,但操作要求高,特别在负荷波动和事故情况要使待接入的发电机和运行的发电机的频率相同、电压相同、相位相一致会有一定困难,所以自启动发电机组并车应采用自动同期法。
6.1. 11
柴油发电机容量大小不同,小时耗油量也有差异。若在主建筑外设储油库,其防火间距应遵照国家标准《高层民用建筑设计防火规范》GB 50045和《建筑设计防火规范》GB
50016中有关规定执行。
中小容量柴油机组出厂时,一般配有日用燃油箱。当机组设在大型民用建筑地下层时,根据应急柴油发电机特殊要求,必须储备一定数量燃油供应急时使用,又考虑建筑防火要求,储油数量不宜过大。综合各种因素,最大储油量不应超过8h的需要量,并应按防火要求处理。
6.1.12
柴油发电机组的230/400V中性点直接接地系统的电气设备的金属外壳、支架等均应接地,在同一配电系统中不应采取两种不同的接地方式。
6.1.13
柴油发电机组运行时,其余热向四周扩散,为了不致引起室温过高,机房内应有良好通风装置。机房里的换气量应等于或大于柴油机燃烧所用新风量与维持机房室温所需新风量之和。
减少暖机功率,对平时利用率较低的应急机组,是不可忽视的。因为应急机组时刻都处在“戒备”状态,而暖机也时刻在运行,成年累月其运行费用甚高。据有关资料介绍,深圳某大厦采用一台320kW的低速柴油发电机组,暖机功率高达20kW。冬季日耗电量有时达200kWh以上,如在北方地区其暖机耗电量就更可观了。