建筑钢结构防火技术规范
编号:GB51249-20175.1
钢材
5.1.1 高温下钢材的物理参数应按表5.1.1确定。

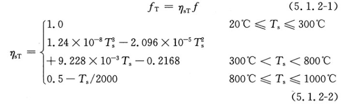
5.1.2 高温下结构钢的强度设计值应按下列公式计算。

式中:Ts——钢材的温度(℃);
fT——高温下钢材的强度设计值(N/mm2);
f——常温下钢材的强度设计值(
N/mm2),应按现行国家标准《钢结构设计规范》GB
50017的规定取值;
ηsT——高温下钢材的屈服强度折减系数。
5.1.3
高温下结构钢的弹性模量应按下列公式计算。
EsT= χsTEs (5.1.3-1)

式中:EsT——高温下钢材的弹性模量(N/mm²);
Es——常温下钢材的弹性模量(N/mm²),应按照现行国家标准《钢结构设计规范》GB
50017的规定取值;
XsT——高温下钢材的弹性模量折减系数。
5.1.4
高温下耐火钢的强度可按本规范第5.1.2条式(5.1.2-1)确定。其中,屈服强度折减系数ηsT应按下式计算。

5.1.5
高温下耐火钢的弹性模量可按本规范第5.1.3条式(5.1.3-1)确定。其中,弹性模量折减系数XsT应按下式计算。

条文说明
5.1 钢材
5.1.1
本条规定了高温下钢材的物理特性参数取值。高温下钢材的热膨胀系数、热传导系数和比热等随温度的不同会有一定的变化[式(1)~式(4)],本规范取这些参数在高温下的平均值。
钢材的物理特性主要取决于钢材的化学组分,加工工艺、加工过程对其影响较小。钢结构工程中常用的碳素结构钢(低碳钢、中碳钢、高碳钢)和低合金结构钢等所含的碳元素、合金元素的比例都很小,基本上小于或等于5%;耐火钢的合金元素稍高于低合金结构钢。因此,这些钢材的高温物理特性基本相同。
(1)
结构钢的热膨胀变形率△l/l:

式中:Ts——钢材的温度(℃)。
(2) 结构钢的热膨胀系数as [m/(m·℃)]:

(3) 结构钢的热传导系数λs[W/(m·℃)]:

(4) 结构钢的比热cs[J/(kg·℃)]:

(5)结构钢的泊松比vs:
vs=0.3
(5)
5.1.2、5.1.3
这两条规定了高温下结构钢的强度设计值和弹性模量。
在本规范中,如无特别说明,结构钢是指钢结构工程中大量应用的具有屈服平台的低碳结构钢和低合金结构钢,包括Q235钢、Q345钢、Q390钢和Q420钢等。与高温下钢材的物理特性不同,钢材的生产工艺、加工过程等对高温下钢材的力学性能有较大的影响,并且高温对高强度钢、高强度螺栓、高强度钢绞线、钢索的强度影响要显著地大于结构钢,式(3)不适用这些钢材。
结构钢在高温下的力学性能有如下特点(图3):

(1)
钢材的屈服强度和弹性模量随温度升高而降低,且屈服台阶变得越来越小;温度高于300℃后,已无明显的屈服平台。
(2)
钢材的极限强度基本上随温度的升高而降低,但在180℃~370℃温度区间内,极限强度有所提高,塑性和韧性下降(即出现“蓝脆现象”)。
(3)
温度高于400 ℃后,钢材的强度与弹性模量开始急剧下降;温度达到650℃时,钢材已基本丧失大部分强度。
温度高于300℃后,钢材已无屈服段,因此需要指定一个强度作为钢材的名义屈服强度。通常以一定量的塑性残余应变(称为名义应变)所对应的应力作为钢材的名义屈服强度(图4)。常温下一般取0.2%应变作为名义应变,而在高温下名义应变取值尚无一致的标准。

(1)
欧洲钢结构协会标准《钢结构防火—欧洲钢结构防火设计手册》规定,当温度大于400℃时,以0.5%应变作为名义应变,当温度低于400℃时,则在0.2%
(20℃时)和0.5%应变之间按线性插值确定[European Convention for Constructional Steelwork
(ECCS),Technical Committee 3—Fire Safety of Steel Structures,Design Manual on
the European Recommendations for the Fire Safety of Steel Structures,1st
Edition,1985.]。钢梁、钢柱耐火试验表明,按上述方法确定的名义应变值过于保守。
(2) 英国国家标准《建筑钢结构
第8部分:耐火设计实施规范》规定了三个名义应变水平的强度,以适应各类构件的不同要求,即:2%应变,适用于有防火保护的受弯组合构件;1.5%应变,适用于受弯钢构件;0.5%应变,适用于除上述两类以外的构件(British
Standards Institution,BS 5950,The Structural Use of Steelwork in Buildings,Part
8:Code of Practice for Fire Resistant Design,1990.)。
(3) 欧洲标准《钢结构设计
第1.2部分:结构防火设计》则取2%应变作为名义应变来确定钢材的名义屈服强度(European Committee for
Standardization,EN 1993-1-2,Eurocode 3,Design of Steel Structures,Part
1.2:Structural Fire
Design,2005.)。
随着研究的广泛与深入,对结构钢的高温性能以及钢结构在火灾下的反应有了更深入的了解,目前对于采用较大的名义应变来确定结构钢高温下的名义屈服强度已达成共识。
国内对Q235、Q345等结构钢进行了系统的高温材性试验,得到了0.2%、0.5%、1.0%等名义应变水平的高温屈服强度。综合国内试验资料,并参考EN
1993-1-2:2005、BS
5950-8:2003等给出了我国结构钢高温下的强度设计值和弹性模量。表6为按本规范有关公式计算的各温度下钢材的屈服强度折减系数ηsT和弹性模量折减系数XsT。

5.1.4、5.1.5
耐火钢通过在钢材中加入钼等合金元素,使钢材在高温时从原子中析出碳化钼Mo2C。由于此类化合物比铁原子大,能起到阻止或减弱“滑移”的作用,从而提高钢材高温下的强度。耐火钢无蓝脆现象,故在低温度区段内耐火钢的强度损失大于结构钢。在实际工程中,绝大多数钢构件的临界温度在450℃~700℃范围内,在该温度段内耐火钢的强度损失小于结构钢。
目前,各钢铁公司生产的耐火钢的高温材性有较大的差别,本规范给出的公式不一定适用于所有品种。应用式(5.1.4)、式(5.1.5)时,要求600℃时耐火钢的实测屈服强度折减系数不低于式(5.1.4)计算值的10%。