建筑钢结构防火技术规范
编号:GB51249-20176.2
钢构件升温计算
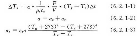
6.2.1 火灾下无防火保护钢构件的温度可按下列公式计算。

式中:t——火灾持续时间(s);
△t——时间步长(s),取值不宜大于5s;
△Ts——钢构件在时间(t,t+△t)内的温升(℃);
Ts、Tg——分别为t时刻钢构件的内部温度和热烟气的平均温度(℃);
ρs、cs——分别为钢材的密度(kg/m³)和比热[J/(kg·℃)];
F/V——无防火保护钢构件的截面形状系数(m-1);
F——单位长度钢构件的受火表面积(m²);
V——单位长度钢构件的体积((m³);
α——综合热传递系数[W/(m²·℃)];
αc——热对流传热系数[W/(m²·℃)],可取25W/(m²·℃);
αr——热辐射传热系数[W/(m²·℃)];
εr——综合辐射率,可按表6.2.1取值;
σ——斯蒂芬-波尔兹曼常数,为5.67×10-8W/(m²·℃4)。

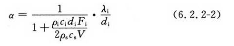
6.2.2 火灾下有防火保护钢构件的温度可按下式计算。

1 当防火保护层为非轻质防火保护层,即2ρicidiFi>ρscsV时:

2
当防火保护层为轻质防火保护层,即2ρicidiFi≤ρscsV时:
对于膨胀型防火涂料防火保护层:

对于非膨胀型防火涂料、防火板等防火保护层:

式中:ci——防火保护材料的比热容[J/(kg·℃)];
ρi——防火保护材料的密度(kg/m3);
Ri——防火保护层的等效热阻(m2·℃/W);
λi——防火保护材料的等效热传导系数[W/(m·℃)];
di——防火保护层的厚度(m);
Fi/V——有防火保护钢构件的截面形状系数(m-1);
Fi——有防火保护钢构件单位长度的受火表面积(m2);对于外边缘型防火保护,取单位长度钢构件的防火保护材料内表面积;对于非外边缘型防火保护,取沿单位长度钢构件所测得的可能的矩形包装的最小内表面积;
V——单位长度钢构件的体积((m3)。
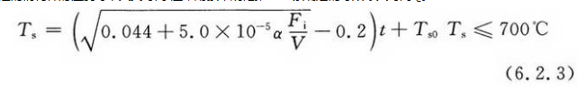
6.2.3
在标准火灾下,采用轻质防火保护层的钢构件的温度可按下式近似计算;在非标准火灾下,计算采用轻质防火保护层的钢构件的温度时,火灾时间t应采用按本规范第6.1.3条确定的等效曝火时间te。

式中:t——火灾持续时间(s)。
条文说明
6.2
钢构件升温计算
本节适用于表面受火均匀的轻型钢构件的升温计算。重型钢构件或表面受火不均匀的钢构件,其截面上各点温度相差较大,为不均匀分布,宜采用有限差分法、有限单元法等数值方法计算其升温。当单位长度钢构件的表面积与对应的体积之比大于10时,为轻型钢构件;反之,则为重型钢构件。实际工程中的大部分钢构件为轻型钢构件。
6.2.1
本条给出的无防火保护钢构件的升温计算公式基于集总热量法原理,为增量公式,需要逐步迭代计算。其中,时间步长△t不宜大于5
s,以保证计算精度。表6.2.1给出的综合辐射率εr取自美国标准ANSI/AISC 360-10《Specification for Structural
Steel
Buildings》(2010),综合考虑了烟气的辐射率以及辐射角系数的影响,适用于符合本规范第6.1.1条式(6.1.1-1)、式(6.1.1-2)规定的火灾。当实际火灾与本规范第6.1.1条式(6.1.1-1)、式(6.1.1-2)规定的火灾相差很大时,应调整综合辐射率的取值。表9给出了常见的无防火保护钢构件的截面形状系数计算示例。在标准火灾下,无防火保护的钢构件按式(6.2.1)计算的温度如表10所示。


注:表中A为构件截面积。


注:1 当F/V<10时,构件温度应按截面温度非均匀分布计算;
2
当F/V>300时,可认为构件温度等于空气温度。
6.2.2
本条给出的有防火保护钢构件的升温计算公式,为增量公式,需要逐步迭代计算。其中,时间步长△t不宜大于30s,以保证计算精度。
有防火保护钢构件的截面形状系数Fi/V,不仅与钢构件的截面特性有关,还与防火保护层做法有关。工程中常用的防火保护层做法可分为两种:(1)外边缘型保护,即防火保护层全部沿着钢构件的外表面进行保护;(2)非外边缘型保护,即全部或部分防火保护层不沿着钢构件的外表面进行保护。表11给出了常见的有防火保护钢构件的截面形状系数计算示例。
钢结构防火保护的种类和施工方法较多,其特性也有较大的差别。有些防火保护层质量很轻,相对钢构件来说,其自身吸收的热量可忽略,这种防火保护层称为轻质保护层;而有些防火保护层自身所吸收的热量必须加以考虑,这种防火保护层称为非轻质保护层。一般情况下,非膨胀型防火涂料、膨胀型防火涂料、蛭石防火板、硅酸钙防火板、硅酸铝纤维毡等防火保护层为轻质保护层;混凝土、金属网抹砂浆、砌体等防火保护层为非轻质保护层。忽略保护层自身所吸收的热量,钢构件的温度计算结果是偏高的,因此以此温度进行防火设计的结果偏于安全。
标准火灾下采用轻质防火保护层的钢构件,按式(6.2.2)计算的钢构件温度如表12~表18所示。




注:表中A为构件截面面积。
























6.2.3
本条给出的标准火灾下采用轻质防火保护的钢构件的近似升温计算公式,是通过对本规范第6.2.2条的迭代升温计算公式(6.2.2-1)、式(6.2.2-4)的计算结果进行数学拟合得到,二者的比较如图10所示。从图中可见,当钢构件的温度不大于700℃时,二者计算结果的偏差很小。由于式(6.2.3)为显式计算公式,极大地方便了计算。
