建筑钢结构防火技术规范
编号:GB51249-2017
颁布时间:2017/7/31
是否常用:是
是否有效:现行有效
分类:建筑防火
5.3
防火保护材料
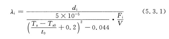
5.3.1
非膨胀型防火涂料的等效热传导系数,可根据标准耐火试验得到的钢试件实测升温曲线和试件的保护层厚度按下式计算:

式中:λi——等效热传导系数[W/(m·℃)];
di——防火保护层的厚度(m);
Fi/V——有防火保护钢试件的截面形状系数(m-1),应按本规范第6.2.2条计算;
Ts0——开始时钢试件的温度,可取20℃;
Ts——钢试件的平均温度(℃),取540℃;
t0——钢试件的平均温度达到540℃的时间(s)。
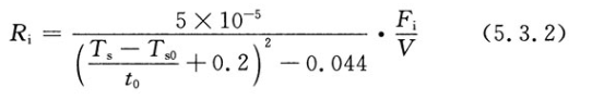
5.3.2
膨胀型防火涂料保护层的等效热阻,可根据标准耐火试验得到的钢构件实测升温曲线按下式计算:

式中:Ri——防火保护层的等效热阻(对应于该防火保护层厚度)(m²·℃/W)。
5.3.3
膨胀型防火涂料应给出最大使用厚度、最小使用厚度的等效热阻以及防火涂料使用厚度按最大使用厚度与最小使用厚度之差的1/4递增的等效热阻,其他厚度下的等效热阻可采用线性插值方法确定。
5.3.4 其他防火保护材料的等效热阻或等效热传导系数,应通过试验确定。
条文说明
5.3 防火保护材料
5.3.1
本条规定的非膨胀型防火涂料的等效热传导系数计算方法,基于非膨胀型防火涂料保护钢构件的标准耐火试验,可综合反映防火涂料在火灾下传热(隔热防火保护)的实际性能以及火灾下防火涂料外表面的热对流、热辐射传热效应,避免了常规试验方法,如国家现行标准《耐火材料
导热系数试验方法(水流量平板法)》YB/T 4130、《耐火材料导热系数试验方法(热线法)》GB/T 5990等的不足。
非膨胀型防火涂料在火灾下受火温度范围大,其热传导系数随温度有较大的变化,但从工程应用角度,热传导系数采用常数可极大地简化计算。试验与理论计算的对比表明,采用540℃(约1000
℉)时的等效热传导系数,可相当精确地模拟非膨胀型防火涂料保护钢构件在火灾下的升温,并且不同保护层厚度下测得的非膨胀型防火涂料的等效热传导系数变化很小。
现行国家标准《钢结构防火涂料》GB 14907—2002采用I36b、140b(截面形状系数见表7)作为钢试件,按照国家标准《建筑构件耐火试验方法》GB/T
9978—1999(目前已被现行国家标准《建筑构件耐火试验方法 第1部分:通用要求》GB/T
9978.1替代)进行耐火性能试验。当涂料型式检验报告中给出钢试件升温曲线时,可按式(5.3.1)计算非膨胀型涂料的等效热传导系数;当没有给出钢试件升温曲线时,可采用防火保护层厚度20mm、长度500mm的I36b(或I40b)工字钢试件进行不加载耐火试验,测试钢试件的升温曲线。

5.3.2、5.3.3
第5.3.2条规定了膨胀型防火涂料保护层的等效热阻计算方法。针对膨胀型防火涂料的特点,第5.3.3条规定膨胀型防火涂料应给出5个使用厚度的等效热阻。
膨胀型防火涂料受火膨胀,形成比原涂层厚度大数倍到数十倍的多孔膨胀层,该膨胀层的热传导系数小,隔热防火保护性能良好。火灾下膨胀层厚度主要取决于涂料自身的特性、涂层的厚度,受膨胀层自身致密性、强度等的限制,膨胀层厚度不会一直随着涂层厚度的增大而增大,而且涂层太厚容易造成膨胀层过早脱落,因此膨胀型防火涂料存在最大使用厚度。膨胀型防火涂料涂层厚度和膨胀层厚度、热传导系数之间均为非线性关系(图5)。因此,膨胀型防火涂料不宜采用等效热传导系数,而是采用对应于涂层厚度的等效热阻。

5.3.4
表8给出了其他一些防火保护材料常温下的热传导系数,供参考。